반응형
경제수학 교과서 대단원 Ⅲ. 함수와 경제 중
1. 함수와 경제현상 단원 문제풀이입니다.

문제에서
B시 시민들의 상품 구매량은 A시 시민들의 상품 전체 구매량의 절반이므로,
A시 시민들의 상품 구매량 : B시 시민들의 상품 구매량 = 1:2라고 두면 됩니다.
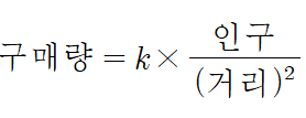
이 때 상품 구매량은 각 도시의 인구 수에는 정비례하고, 거리의 제곱에는 반비례하죠.

표에서 각 도시의 인구와 거리가 주어져있으니 이를 준식에 대입하면 됩니다.

이를 풀어주면 x=62500원이 나옵니다.
반응형
'고등수학 (2015 개정 교육과정) > 경제수학' 카테고리의 다른 글
| [Ⅲ 함수와 경제] 함수와 경제현상 용어정리 (생산,수요,공급,비용,효용함수) (0) | 2020.03.19 |
|---|---|
| [함수와 경제] 부등식의 영역과 최대최소 - 연습용 문제들 (0) | 2020.03.11 |