오늘은 부호 조건에 대해
간단하게 리마인드해볼게요!

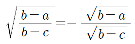
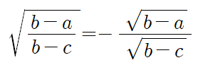
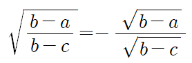
위의 식을 봤을 때,
오른쪽에 짤린 것처럼 보이는 5개의 식이
자연스럽게 나오지 않는다면,
(혹은 5개나 있었어? 라고 되묻는다면-)
오늘의 포스팅 주목하셔야해요.
위는 고1때 복소수 단원을 학습 할 때
주로 등장합니다만,
이후에도 다른 것들과 연결해서 종종 나옵니다.
예를 들면, 수1의 로그조건이라던가..?
뭐.. 아무튼 그래서 내용을 잘 모르더라도
기계적으로라도 공식을 알고 있어야 해요.
실제로 숫자가 들어있어서 계산을 할 때는
공식을 이용해서 쓰려기보다는
숫자를 다 i로 바꾸어서
계산 하는 편이 덜 헷갈립니다.
만약
조건이 각각
a<0, b<0
a>0, b<0
가 아니었나?라고 생각하시는 분들은
다시금 본인이 보던 교재 살펴보세요.
0이 아닌 두 실수 a,b라는 조건이
이제 눈에 들어오실 겁니다.
(이 포스팅 보고 난 다음,
본인이 풀던 교재 잘 찾아보세요.)
예제

정답 : 3개
문제1
한 개의 주사위를 3번 던질 때,
나오는 눈의 수를 차례대로 a,b,c라 하자.

일 확률은?

정답 : 43/108
문제2
한 개의 주사위를 3번 던질 때,
나오는 눈의 수를 차례대로 a,b,c라 하자.

일 확률은?

정답 : 25/108
근호 조건은 여기서만 끝나지 않습니다.
나중에 수학1까지 학습하고 나면
아래와 같은 문제들도 풀 수 있어요.
추가문제1
다음을 만족하는 θ는 제 몇 사분면의 각인가?
(단, sin θ ≠ 0)

정답 : 제3사분면
문제는 찾는대로
추가로 좀 더 포스팅 할게요.
항상 공부할 때는
꼼꼼하게 내용을 보면서
익히도록 해요.!
'고등수학 (2015 개정 교육과정) > 고등수학(상)' 카테고리의 다른 글
| 내신용 - 고차식 나머지 문제 선별 (0) | 2023.05.13 |
|---|---|
| 복소수 실수 조건 응용 문제 (0) | 2023.04.07 |
| 복잡한 식의 인수분해 - 문자 3개 나오는 경우 (0) | 2023.02.22 |
| [복소수] 제곱이 양수/음수인 유형 - 순허수, 실수 조건 (0) | 2022.11.27 |
| 일차 부등식의 활용 과부족 문제 (의자 문제) (0) | 2022.09.11 |