반응형
나머지 정리 문제 중, 고차식과 함께 등장하는 고난도 내신 문제를 몇 개 풀어볼게요.

문제 1


따라서 구하는 나머지는 2입니다.
문제2



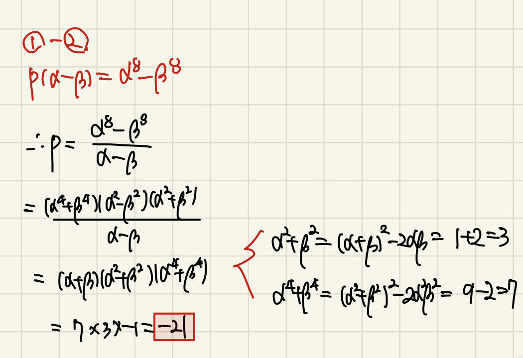
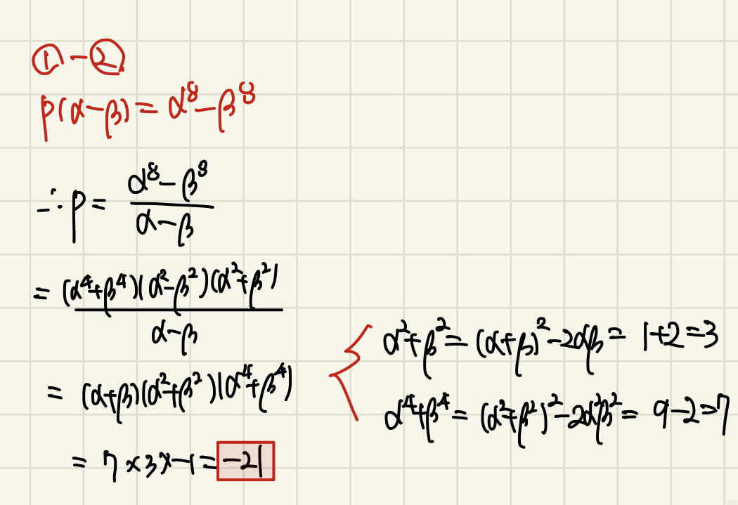
문제 3



허근 w 쓰는 유형, x^n-1=0을 이용하는 유형, 합과 곱을 이용하여 차수를 낮춰 푸는 유형 등 고난도 문제는 다양합니다. 새로운 유형을 발견하면 더 추가하도록 할게요.
반응형
'고등수학 (2015 개정 교육과정) > 고등수학(상)' 카테고리의 다른 글
| 도형의 이동 - 선대칭 최단거리 푸는 방법 (거리합의 최솟값) (0) | 2023.07.15 |
|---|---|
| 아폴로니우스의 원 - 두 점으로부터 거리의 비가 같은 점의 자취 (2) | 2023.06.25 |
| 복소수 실수 조건 응용 문제 (0) | 2023.04.07 |
| 복소수 부호 (근호 조건) 총 정리! (0) | 2023.04.02 |
| 복잡한 식의 인수분해 - 문자 3개 나오는 경우 (0) | 2023.02.22 |