반응형
교재에 실려 있는 삼각함수의 각 변환 공식 문제가 연습용으로 충분치 않은 것 같아서 싸그리 모아봤습니다.
오늘 포스팅에 들어있는 문제만 다 풀면, 더 이상 각변환 문제는 어렵지 않을 거에요.
*24/12/21 시험지 수정본, 정답지 같이 업로드했습니다.
참고로 삼각함수 각변환의 증명 및 정리에 관해서는 아래 포스팅이나 영상을 참고하세요.
삼각함수 각변환 총정리
오늘은 삼각함수의 각 변환을 모두 정리해보도록 할게요. 증명은 그래프를 이용하기 보다는, 삼각함수의 정의를 이용해서 해볼 예정입니다. 그래프를 이용한 증명은 다음번에 한 번 해보도록
ladyang86.tistory.com
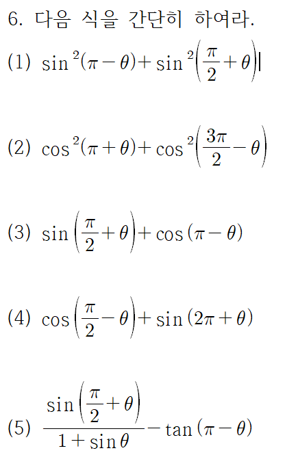
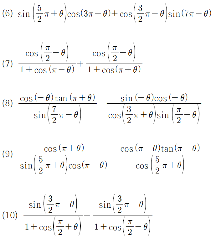
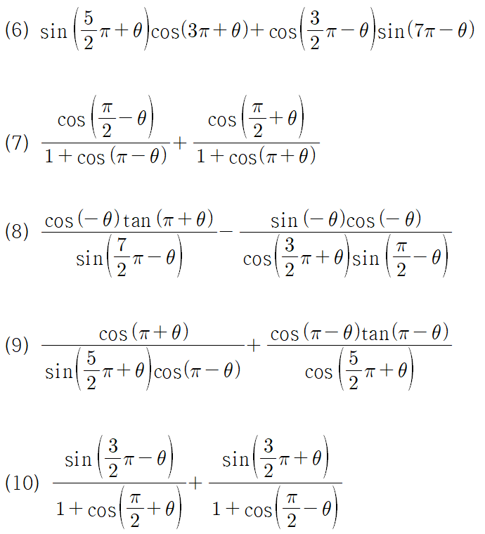
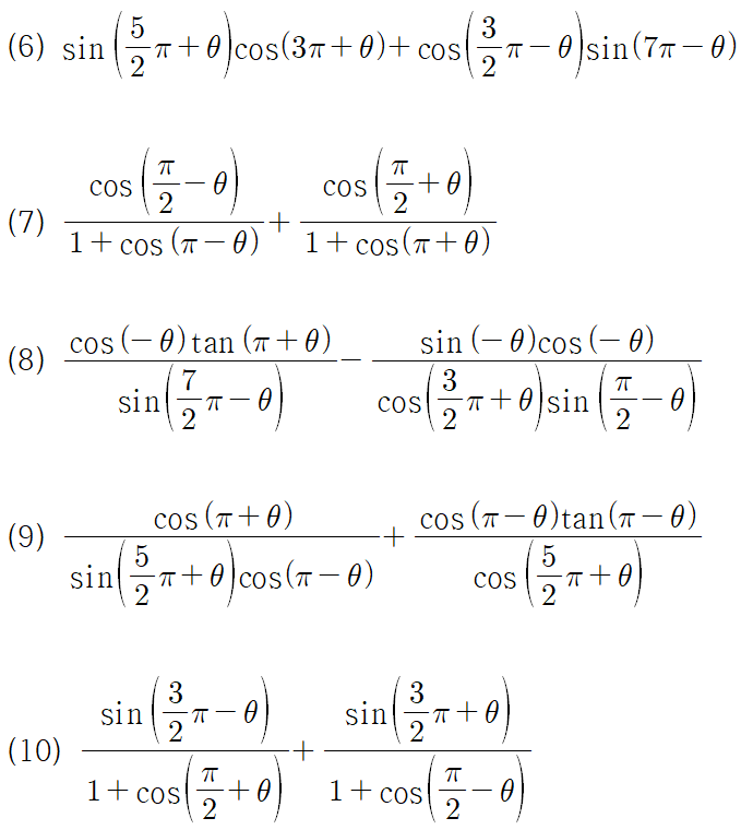
오늘은 실제로 문제를 열심히 풀어보겠습니다.
우선 리마인드 차원에서 각변환 공식을 쭉 써보고 갈까요?

이제 본격적으로 문제를 풀어봅시다.!











시험지가 필요하신 분은 아래 pdf 파일 다운 받아서 푸시면 됩니다.
삼각함수 각변환 연습 시험지_1.1.pdf
0.05MB
삼각함수 각변환 연습 정답지_1.0.pdf
0.05MB
풀이는 유튜브에 올렸고 주로 공식을 외워서 푸는 것 위주로 해설했어요.
좀 더 지나고 나면 사실 그래프가 좀 더 익숙해지실 수도 있습니다 :-) 저도 그래프로 풀거든요.
그렇지만, 푸는 방법을 여럿 알수록 시험 볼 때 유용하게 쓸 수 있는 도구가 느는 것이니, 열심히 연습해주세요.
*24/12/21 시험지 수정본, 정답지 같이 업로드했습니다.
반응형
'고등수학 (2015 개정 교육과정) > 수학1' 카테고리의 다른 글
| 삼각함수 활용 도형 고난도 문제 모음 - 모의고사, 수능 기출 (0) | 2023.05.20 |
|---|---|
| 연립 점화식 문제 - 수열의 귀납적 정의 (0) | 2023.04.09 |
| [부분 분수] 분수 꼴로 이루어진 수열의 합 (0) | 2023.02.24 |
| 삼각함수 각변환 총정리 (0) | 2023.02.05 |
| 삼각함수 활용 도형 고난도 문제 모음 - 내신용 (0) | 2022.08.12 |