수학(하)에서 유리함수 배울 때, 유리식을 추가로 배우셨다면 그 때 나오는 내용이고
아니라면 수학1 수열의 합에서 정식으로 다루게 됩니다.

부분 분수란?
어떤 분수의 분모를 n이라 할 때, 분모가 n의 약수인 분수들의 합이나 차로 나타내는 것을 부분분수 분해 또는 부분분수 전개라고 합니다. 예컨대 분모가 큰 수를 좀 더 가볍게 만들기 위한 방법이랄까요?
고등학교에서는 부분 분수가 수1 수열의 합, 미적분 적분 단원에서 나온답니다.
우리는 간단한 부분분수 분해 정도만 해볼거에요.
식은 아래와 같습니다.

우변을 통분 해서 정리해보시면
두 식이 같다는 걸 쉽게 알 수 있습니다.
중요한 건 실제로 공식을 외워서
문제를 푸는 데 있죠.
간단한 연습 한 번 해볼까요?

분수 꼴로 나타낸 수열의 합
이제부터는 실제로 문제를 풀면서
좀 더 익혀봅시다.
예제 1
다음 주어진 수열의 합을 구하여라.

부분분수 전개를 이용했을 때,
앞뒤로 붙어있는 숫자가
바로 안 사라지죠?
이럴 때는 가로식을 계속 써서
불편하게 지워가는 것보다,
세로식으로 더하는 편이
더 보기가 쉽습니다.

세로식을 쓰면 항의 개수가 같으므로
왼쪽에서 안 지워진 항의 개수만큼
오른쪽에서 남습니다.
그래서 계산할 때 누락되는 부분이 없어요.
예제 2
아래 주어진 수열의
첫 항부터 n항까지의 합을 구하여라.

우선 n항까지의 합을 구하라고 하니
규칙을 파악해서 일반항을 구해줍니다.

이제 n항까지 쭉~더해볼게요.

인수분해 하여,
부분 분수로 분해 하면 끝!
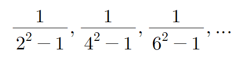
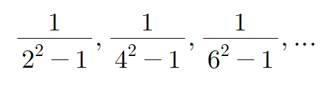
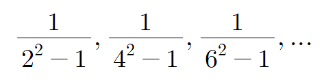
예제 3
아래 주어진 수열의
첫 항부터 n항까지의 합을 구하여라.

n번째 항까지 더해야 하므로
일반항을 구해줍니다.

계산 할 때 꼭 시그마 기호를 쓸 필요는 없습니다.
공식이 따로 없거든요.
어차피 부분분수로 분해하여
더해서 소거시켜야 하잖아요?

분수꼴로 표현되는 수열의 합에서는
분모에 B-A 빼먹지 않는 것과,
소거가 덜 되는 항을 잘 남기는 것에 유의하면
어렵지 않으실 거에요.
그럼 다음에 또 유용한 포스팅으로 돌아올게요!
'고등수학 (2015 개정 교육과정) > 수학1' 카테고리의 다른 글
| 연립 점화식 문제 - 수열의 귀납적 정의 (0) | 2023.04.09 |
|---|---|
| 삼각함수 각 변환 연습 문제 모음 (5) | 2023.03.19 |
| 삼각함수 각변환 총정리 (0) | 2023.02.05 |
| 삼각함수 활용 도형 고난도 문제 모음 - 내신용 (0) | 2022.08.12 |
| 교과서 점화식 연습용 문제 모음 (표현법까지만+문제만) (0) | 2022.06.29 |