반응형
오늘은 가우스 기호가 들어있는 함수의 극한 문제를 조금 풀어볼게요.
'선생님, 가우스 시험에 나와요?'
라고 물어본다면, 대답하기가 조금 애매합니다.
뭐, 교육과정에서 필수로 꼭 들어있는 내용은 아니지만,
[x]는 x 이하의 정수라는 뜻을 주면, 솔직히 해석을 못할 정도로 어렵지도 않거든요..

가우스 함수의 성질 정리는 나중에 기회가 되면 하고, 오늘은 문제 위주로 풀도록 하겠습니다.
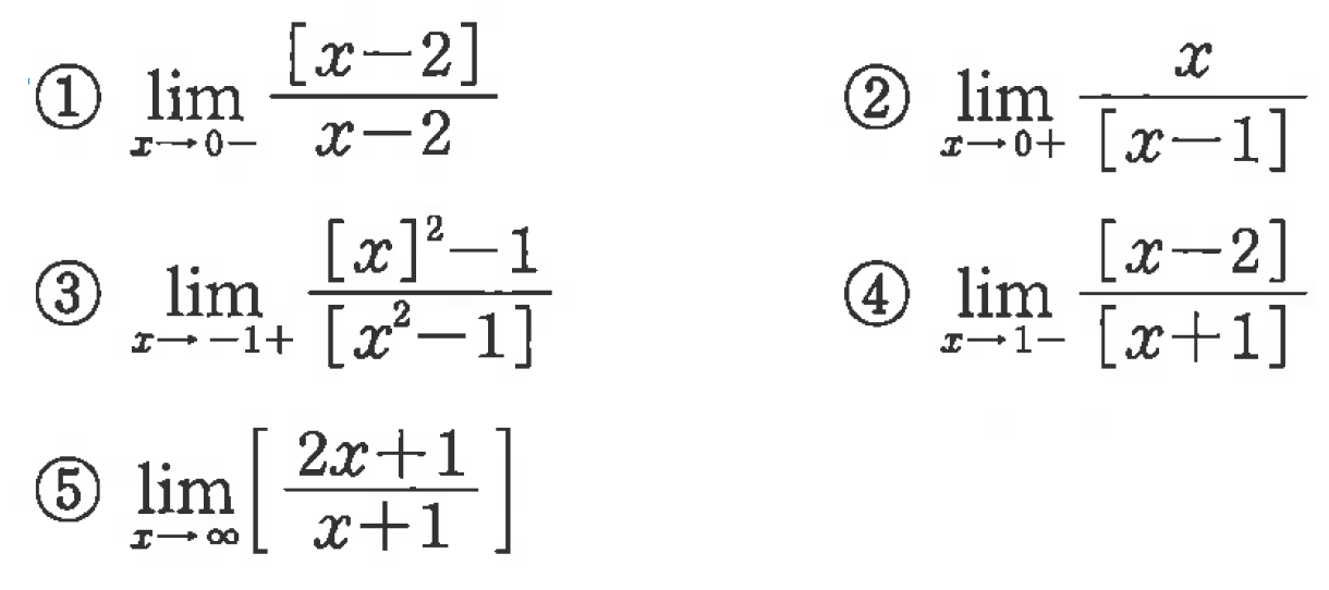
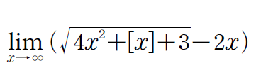
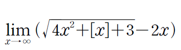
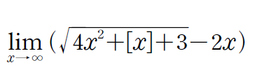
문제 1


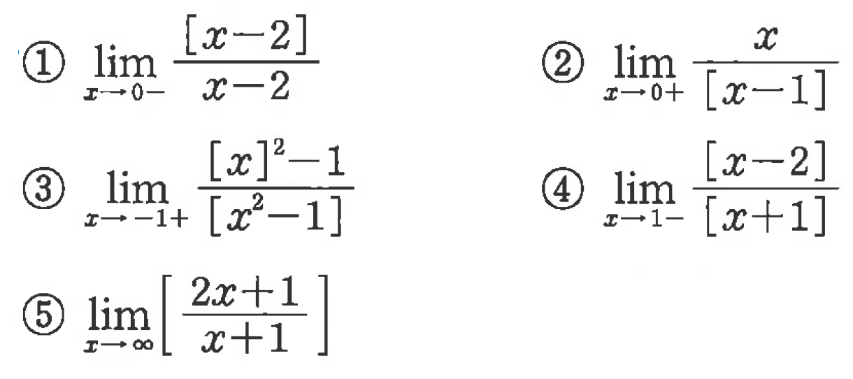
문제2
다음 중 그 값이 가장 큰 것은?
(단, [x]는 x 이하의 최대 정수)


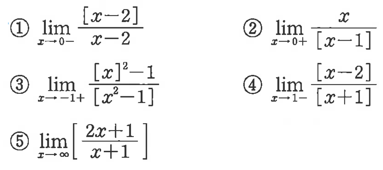
문제3


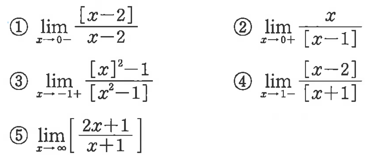
문제4



오늘 실은 문제는 기본 극한뿐이지만,
나중에는 아래와 같이 조임정리를 쓰는
가우스 들어간 극한 문제도
추가할게요!

반응형
'고등수학 (2015 개정 교육과정) > 수학2' 카테고리의 다른 글
| [함수 개형] 위로 볼록, 아래로 볼록 수식으로 나타내기 (0) | 2023.10.01 |
|---|---|
| 삼차함수 접선의 개수 문제 모음 (0) | 2023.08.27 |
| 내신 대비 - 평균값 정리 선별 문제 (0) | 2023.05.28 |
| 함수의 극한 그래프 (분모가 0으로 가는 그래프들) (0) | 2022.08.25 |
| 대칭을 이용한 고난도 문제 풀이 (x=a, y=b 대칭) (0) | 2022.04.03 |