부정방정식, 실수 조건일 때 해 구하는 방법
오늘은 부정방정식 중 실수 조건이 주어졌을 때 해를 구하는 방법에 대해 알아보겠습니다.

먼저 실수가 가진 성질을 생각해볼까요?
실수는 제곱하면 항상 0보다 크거나 같습니다. 즉 A가 실수이면 A²≥0이죠. 그래서 만약 두 실수 A,B가 있는데 A²+B²=0이라면 A=B=0일 수 밖에 없습니다.
실수 조건의 부정방정식에서, 완전제곱꼴로 모든 식을 바꿔줄 수 있다면 금방 풀 수 있습니다.
개인적으로는 주로 일차항을 보고 정리를 해주는데, 어렵다면 일단 하나의 문자라도 먼저 제곱식을 만들어 보세요. 그럼 나머지가 자동으로 나올 때가 많습니다. 문자나 숫자를 적절~히 쪼개서 완전제곱식을 만드는 거죠. 우선 연습을 좀 해볼까요?
다음 방정식을 만족시키는 실수 x,y의 값을 각각 구해봅시다.
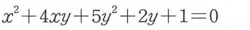
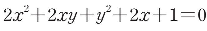
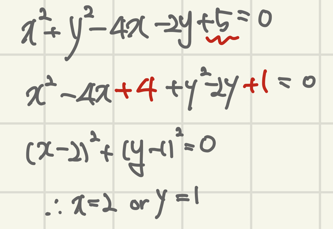
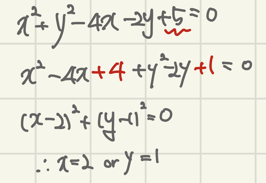
문제 1


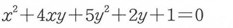
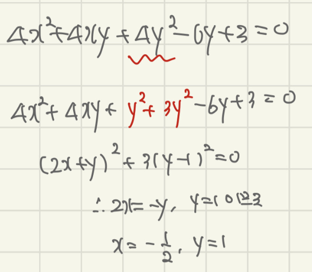
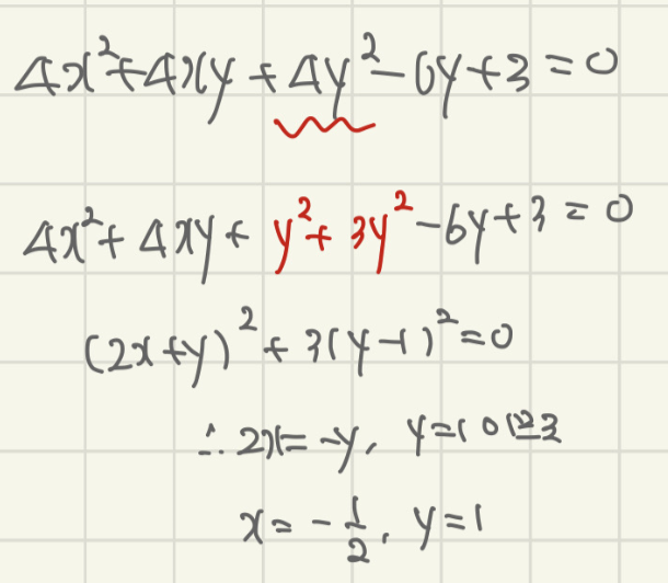
문제 2


문제 3


문제 4


문제 5


문제 6


좀 적응되셨나요? 하다보면 금방 보인답니다.
근데 모든 문제가 다 이렇게 풀린다면
얼마나 좋을까요?
조금 더 복잡하게 나오는 경우도 있어서
다르게 푸는 방법도 하나 더 익혀볼게요.
이 때는 주어진 문자 중 하나를 정해
내림차순으로 정렬 후,
해당 방정식이
실수근을 갖는다고 풀어주시면 됩니다.
즉, 판별식 D≥0이면 되겠죠?
문제 7

을 만족시키는 실수 x,y에 대하여 4x+3y의 값을 구하여라.

물론 이 문제도 아래와 같이
완전제곱식으로 바로 풀 수도 있습니다.

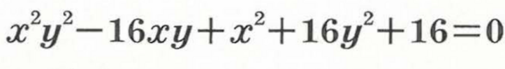
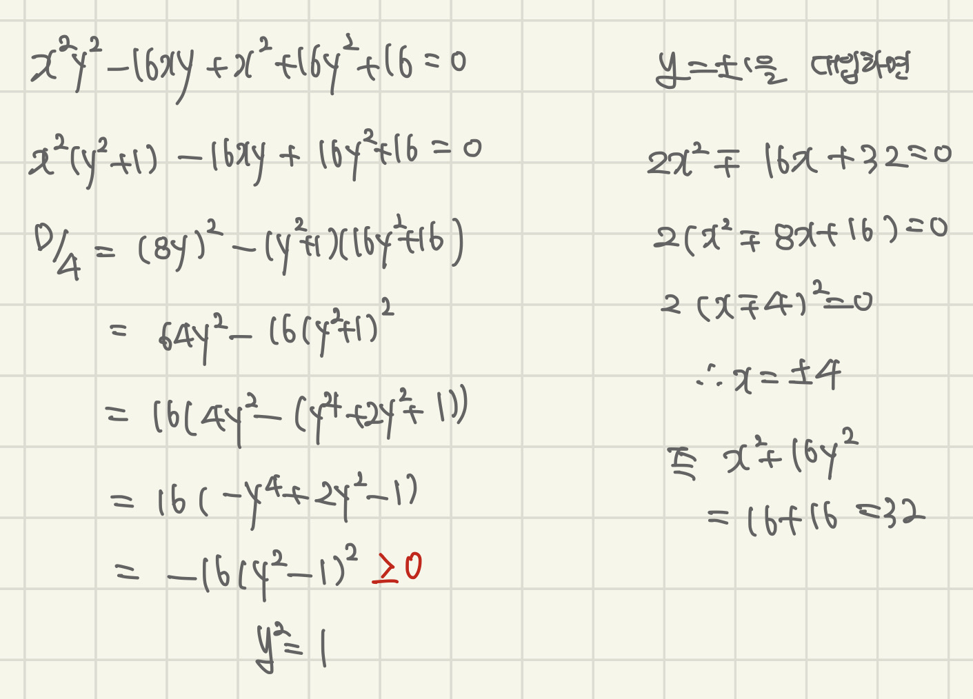
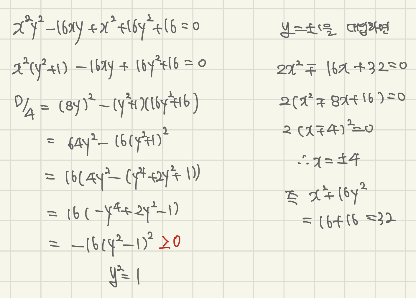
문제8

을 만족시키는 실수 x,y에 대하여
x²+16y²의 값을 구하여라.
x에 대한 내림차순으로 정렬하면,
x에 대한 이차방정식이므로,
x가 실근을 가진다고 풀면 됩니다.

참고로 문자는 y로 정리해도 동일한 답이 나옵니다.

문제9

완전 제곱꼴이 잘 보이지 않으므로
내림차순으로 정리해서 풀어봅시다.

오늘 배운 걸 가볍게 정리해봅시다.
실수조건의 부정방정식은
1. 완전제곱식으로 변형해서 풉니다.
2. 형태가 잘 안보인다면 한문자에 관해 내림차순으로 정렬 후, 판별식 D≥0임을 이용합니다.
그럼 열심히 연습하시고 다음에 또 봐요.^^
'고등수학 (2015 개정 교육과정) > 고등수학(상)' 카테고리의 다른 글
| x축과 y축에 동시에 접하는 원 쉽게 푸는 법 (0) | 2022.06.26 |
|---|---|
| 내분점, 외분점을 이용한 삼각형 넓이 (고1 2015년 9월 #28) + 선별문제 (0) | 2022.06.18 |
| [나머지 정리] 이차식, 완전제곱식으로 나눈 나머지 (0) | 2022.04.09 |
| 대칭이동 - 선대칭 직선 기울기가 +1, -1일 때 빨리 하는 방법 (2) | 2022.03.06 |
| 항등식 중 조립제법으로 푸는 유형 정리 (조립제법의 중복 사용) (0) | 2022.02.26 |