반응형
절댓값은 고3때까지 계속 나옵니다.
처음에 배웠던 건 중1인데, 기억이 나시나요?
수학(상)에서는 절댓값 방정식, 부등식이 나오고,
수학(하)에서 절댓값이 포함된 함수의 그래프를 배운 다음,
수학1, 수학2에서 고난도 문제로 항상 나오죠.
그래서 처음부터 제대로 익혀두셔야 합니다.
1. 절댓값의 정의
: 수직선 상에서 원점으로부터의 거리
(따라서 음수일 수 없습니다.)
2. 기호

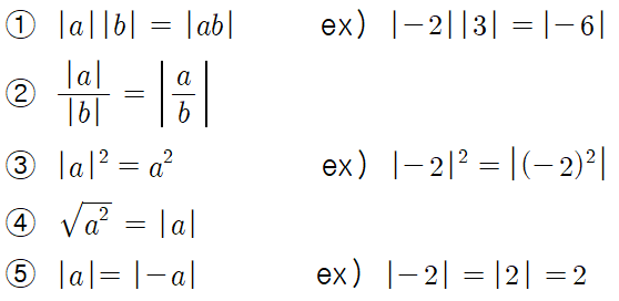
3. 성질

읽어보면 당연한 것 같지만,
실제로 문제풀이에 사용하면
식이 간단해 지는 경우가 많습니다.
예를 들어 우리가 |x-2|는 쉽게 푸는데 |2-x|는 평소에 풀던 모양이 아니죠?
|x-2| = |2-x|이므로 먼저 식을 변형해주고 풀면 됩니다.
3. 절댓값 기호가 들어간 방/부등식 풀기 알고리즘

실제 문제 풀이는 다음에 이어서 하나씩 상세하게 보여드릴게요.
우선은 요 성질과 알고리즘 암기부터 먼저 해주세요:-)
반응형
'고등수학 (2015 개정 교육과정) > 고등수학(상)' 카테고리의 다른 글
| [이차방정식 꿀팁] 역수를 근으로 갖는 방정식 빨리 구하는 방법 (0) | 2020.05.31 |
|---|---|
| [사차방정식 근의 성질] 복이차식 치환해서 근의 부호로 풀기 (0) | 2020.03.20 |
| [삼차방정식의 근] x^3=1의 허근 w의 성질 (0) | 2020.03.07 |
| [다항식의 연산/인수분해] 복잡해서 외워두면 좋은 공식 (0) | 2020.02.27 |
| [이차방정식, 이차함수] 이차방정식 근의 분리 : 두 근이 p보다 클 때/작을때/사이에 있을 때 (0) | 2020.02.05 |