두 사건의 관계에 대해 알아봅시다.
사건 A가 일어나는 것에 상관없이 사건 B가 일어날 확률이 일정할 때,
두 사건 A,B는 서로 독립이라 하고, 서로 독립인 두 사건을 독립사건이라고 부릅니다.
이는 두 사건이 서로 영향을 받지 않고 독립적으로 일어난다는 뜻입니다.
두 사건 A,B가 독립이 아닐 때, 사건 A,B는 서로 종속이라 하고, 종속인 두 사건을 종속사건이라 부릅니다.
모든 사건은 독립사건/종속사건 둘 중 하나입니다. :-)
사건이라는 것 자체가 표본공간의 부분집합이므로 집합이라, 배반/독립/종속/여사건 사이의 관계는 아래와 같이 벤다이어그램으로 나타낼 수 있습니다.

이전에 수학(하)에서 명제의 참/거짓을 판별할 때 진리집합간의 포함관계로 판별했던 것을 기억해봅시다.
사건간의 포함관계도 위의 벤다이어그램을 이용하면 참/거짓 판별이 쉽습니다.
배반사건 ⇒ 종속사건 (참)
배반사건 ⇒ 독립사건 (거짓)
독립사건 ⇒ 배반사건 (거짓)
종속사건 ⇒ 배반사건 (거짓)
다시 독립사건으로 돌아가봅시다.
이걸 기호를 이용하여 나타낸다면 아래와 같습니다.
* 독립사건의 정의

여기서 중요한 건 영향을 받지 않는다는 것이 서로 같이 일어나지 않는다는 뜻이 아니라는 겁니다.
독립사건은 서로 영향을 주지 않는 것이기 때문에 절대 배반사건이 될 수 없습니다. 그러니까 배반사건은 독립사건이 아닌것이죠.
읭? 이게 뭔가 싶죠?ㅎㅎ 배반사건이 서로 교집합이 없는 사건이고, 독립사건이 서로 영향을 주지 않는 사건이라고 하면, 영향이 없으므로 같이 일어나지 않는다고 생각하기 쉽습니다. 이게 한국어로 '같이 일어나지 않는다'와 '영향을 주지 않는다'를 같은 맥락으로 이해해서 그런건데, 조금 다른 예시를 들어서 쉽게 이해해봅시다.
간단하게 예시를 들어보자면,
내가 수학 시험을 90점 이상 맞는 사건과, 에디오피아에 비가 오는 사건을 살펴봅시다.
두 사건이 독립이라면 내가 90점을 받는 것이 에디오피아에 비가 오는 것에 영향을 받지 않는다는 뜻입니다.
에디오피아에 비가 오면 내가 시험 90점을 받는데 영향을 받을까요? 물론 내가 90점을 받고 에디오피아에 비가 오는 건 동시에 일어날 수 있겠죠. 이런 상황이 독립입니다.
그렇지만 두 사건이 배반이라면 동시에 일어날 수 없기 때문에 내가 90점을 받으면 절대로 에디오피아에 비가 안 오는 것입니다.
즉 영향을 끼치지 않는 것이 독립인데, 배반은 서로 절대 같이 일어나지 않기 때문에 오히려 굉장히 강력하게 영향을 주고 있다고 봐야 하는 것이죠.
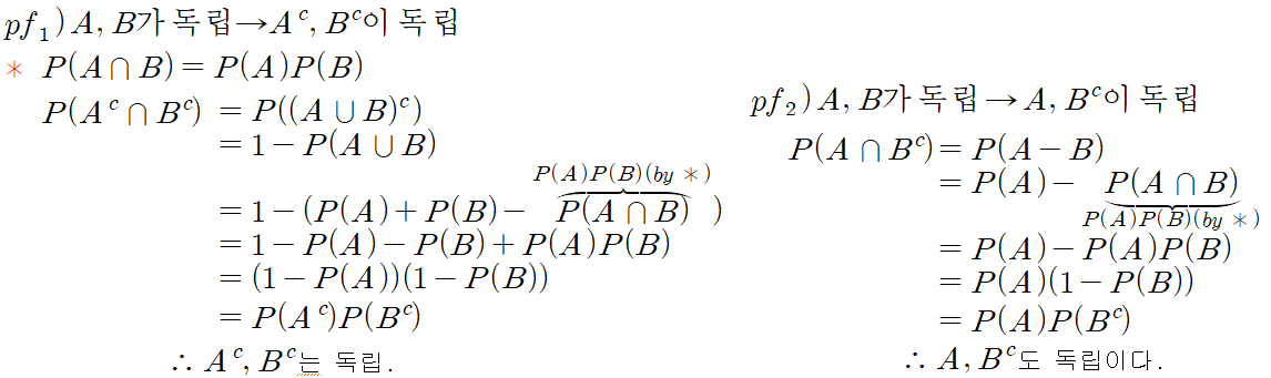
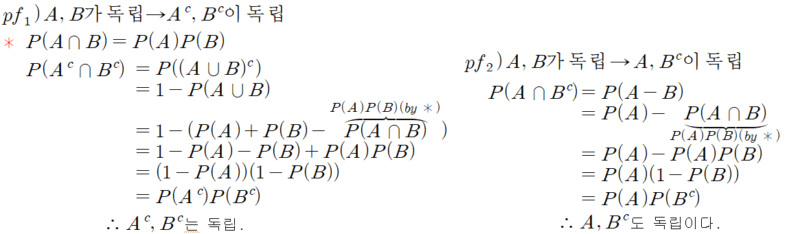
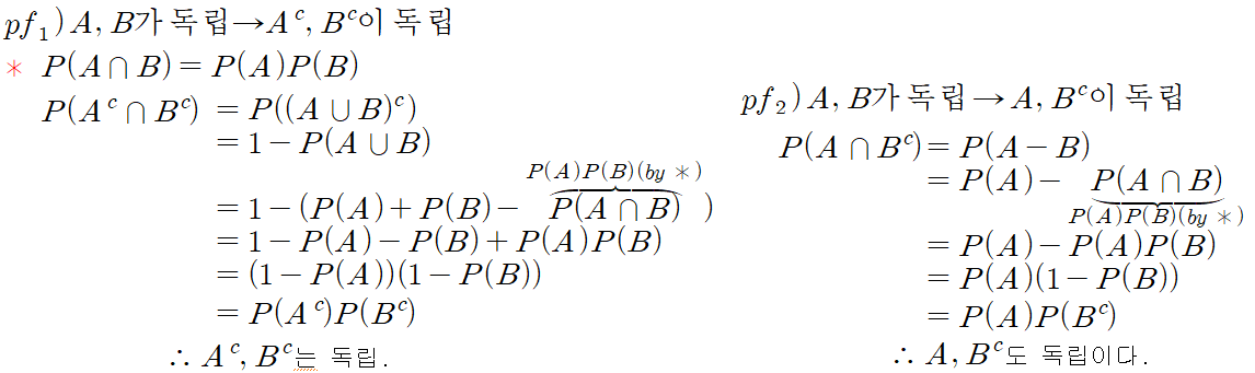
* 사건의 독립과 종속은 직관적으로 알 수 있는 경우도 있으나, 대부분은 독립/종속 판단 여부를 수식으로 증명해야 하므로, 반드시 독립사건의 성질을 암기하고 사용해야 합니다.
내신에 빈출되는 내용이니 아래 독립사건의 성질 5가지는 반드시 암기합시다.

4번과 관련해서 아래 증명은 서술형으로 내신에 자주 나오니 반드시 암기하시기 바랍니다. 증명 할 줄 알아야해요!

'고등수학 (2015 개정 교육과정) > 확률과 통계' 카테고리의 다른 글
| [확률] 수학적 확률 - 로또 1등 당첨 될 확률은 1/2이다. 왜냐하면 되거나, 안되거나 둘 중 하나니까. (0) | 2020.05.28 |
|---|---|
| [정규분포] 정규분포와 이항분포가 섞인 문제 (2006년 교육청 10월 가형 #17) (1) | 2020.05.25 |
| [확률] 가위 바위 보 확률 문제 총정리! (0) | 2020.04.10 |
| [중복조합] 대표 예제 5개와 함께 이해하며 외우기 (0) | 2020.03.23 |
| [통계적 추정] 전수조사와 표본조사 - 근데 전수조사 실제로 언제 쓰니? (0) | 2020.02.22 |