오늘은 순열과 조합에서 가장 중요한 중복 조합에 대해 살펴봅시다.
정의 : 서로 다른 n개에서 중복을 허용하여 r개를 선택하는 경우
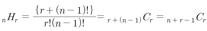
기호로는 아래와 같이 나타냅니다.

이 때 n은 자연수, r은 0과 자연수(음이 아닌 정수)입니다.
r개를 선택할 때 중복을 허용하기 때문에 r이 n보다 클 수도 있습니다.
이렇게만 설명하니 잘 안와닿죠?ㅎㅎ
중복조합을 공부할 때는 대표적인 예시들을 잘 이해하면 됩니다.
하나씩 살펴볼까요?

우선 가장 일반적인 걸 살펴볼게요.
중복조합의 정의에서 기인하는 방법입니다.
세 개의 숫자 1,2,3에서 중복을 허용하여 6개의 숫자를 선택하는 방법을 구해 봅시다.
(정의에 의해 3H6이라고 쓸 수 있겠네요.)
각 조합에서 선택된 6개의 숫자를 1,2,3의 순서대로 나열한 다음
문자를 ○으로 나타내고, 서로 다른 세 숫자의 경계에는 │를 사용하여 구분해봅시다.
예를 들어 1,2,3을 각각 3개, 2개, 1개씩 택하여 1,1,1,2,2,3이 나왔다고 한다면,
○○○│○○│○와 같이 나타낼 수 있습니다.
1,1,1,2,2,3 ⇔ ○○○│○○│○
첫 번째 │의 왼쪽의 ○은 1 ,
첫 번째 │와 두 번째 │사이의 ○는 2,
두 번째 │의 오른쪽의 ○은 3을 나타냅니다.
한 번 더 해볼까요?
112333은
○○│○│○○○
133333은
○││○○○○○
222222는
│○○○○○○│
가 됩니다. 쉽죠?
즉,
세 개의 숫자 1,2,3에서 중복을 허용하여 6개의 문자를 택하는 조합
⇔
6개의 ○과 (3-1=2)개의 │를 일렬로 나열하는 방법의 수.
그러니까, (6+3-1=8)개의 자리에 ○을 놓을 6개의 자리를 택하는 조합의 수와 같습니다.
이와 같이 서로 다른 n개에서 중복을 허용하여 r개를 택하는 중복조합의 수는
r개의 ○와 경계를 나타내는 (n+r-1)개의 │로 이루어진
같은 것이 있는 순열의 수와 같고,
이것은 (n+r-1)개의 자리에 ○을 놓을 r개의 자리를 택하는 조합의 수와 같습니다.


지금부터는 중복조합을 사용하여야 하는 경우를 살펴보겠습니다.
중복조합이 처음 배울 때 어려운 이유는,
정의처럼 서로 다른 n개에서 중복을 허용하여 r개 선택하는 상황이
직접적으로 주어지는 경우가 별로 없기 때문입니다.
즉, 중복조합을 써야겠다는 생각이 직관적으로 들지 않기 때문이죠.
그래서 일대일 대응이 되는 아래 5가지 케이스를 살펴보고 외웁시다.
문제를 많이 풀면 익숙해집니다.

뭐.. 일단 연습이 중요하니,
아래 빈 칸을 한 번 채워보세요!
위의 다섯가지 경우와 같은 걸 만들면 됩니다.

가장 중요한 건 모든 상황이
'일대일 대응'이라,
개수가 같다는 걸 이해하는 거에요.
다 표기하셨으면 맞춰볼까요?

이 중에서 Case4가 가장 중요합니다.
변수 조건이 다양하게 변하는데 치환에 관한 부분은 아래 포스팅을 같이 보시면 도움이 될 거에요.
https://ladyang86.tistory.com/62
[중복조합] 부정방정식의 정수해 조건 부분
이전에 중복조합의 다양한 예시에서 배웠던 것들 기억하시죠? 여기서 가장 중요하게 다루었던 부분이 부정방정식의 정수해입니다. 오늘은 이 부분을 좀 더 자세하게 살펴볼 거에요. https://ladyang
ladyang86.tistory.com
그럼 다음에도 좋은 정보 들고 올게요. 열공~!
'고등수학 (2015 개정 교육과정) > 확률과 통계' 카테고리의 다른 글
| [확률] 수학적 확률 - 로또 1등 당첨 될 확률은 1/2이다. 왜냐하면 되거나, 안되거나 둘 중 하나니까. (0) | 2020.05.28 |
|---|---|
| [정규분포] 정규분포와 이항분포가 섞인 문제 (2006년 교육청 10월 가형 #17) (1) | 2020.05.25 |
| [확률] 가위 바위 보 확률 문제 총정리! (0) | 2020.04.10 |
| [통계적 추정] 전수조사와 표본조사 - 근데 전수조사 실제로 언제 쓰니? (0) | 2020.02.22 |
| [조건부 확률] 사건의 독립과 종속 (필수 암기 알고리즘) (0) | 2020.02.09 |