반응형
급수 단원에서 주어진 급수의 수렴/발산 여부를 묻는 문제는 상당히 많이 나오죠. 헷갈리기 쉬우니 정리 한 번 하고 넘어갑시다!
우선 수렴/발산을 묻고 있다면 아래 알고리즘 대로 판단해봅시다.

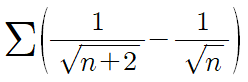
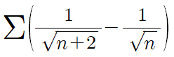
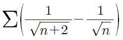
: 일반적으로 부분 분수로 나오는 건 수렴하는 경향이 있고,
분모에 근호가 나와서 유리화해야 하는 건 발산하는 경향이 있습니다만, 아닌 경우도 있으므로 어설프게 암기하지 말고, 직접 부분합을 구해서 해봐야 합니다.

만약 극한을 구하라고 한다면 어떻게 해야 할까요?

아래 첨부파일은 그림 파일 수정용 타이핑 본이니 볼 필요 없습니다.
반응형
'고등수학 (2015 개정 교육과정) > 미적분' 카테고리의 다른 글
| 극한 근사 - 사인법칙, 문제 풀이 (20년 6월 28번, 21년 9월 28번) (0) | 2024.05.31 |
|---|---|
| 미적분 외워야하는 공식 정리 (TEST지 포함) (4) | 2023.09.10 |
| 삼각함수로 치환되는 적분법 (0) | 2023.06.17 |
| [지수함수와 로그함수의 극한] 외워두면 좋은 기본 공식 (0) | 2020.03.14 |