반응형
지수함수와 로그함수의 극한을 살펴봅시다.
형태를 일반화해두면 굉장히 편해지는 식들이 있습니다.
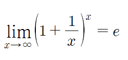
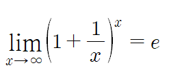
처음 e에 관해 배운 다음,
아래 지수함수/로그함수의 극한에 대해 배우는데
익숙하지 않으니 계속 유도해서 연습 해보세요.
그렇지만 시간이 지나면 익숙해질 겁니다.


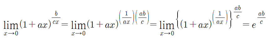
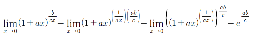
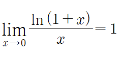
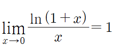
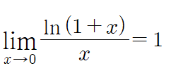
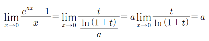
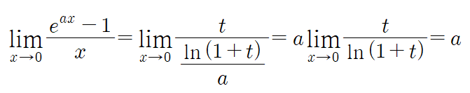
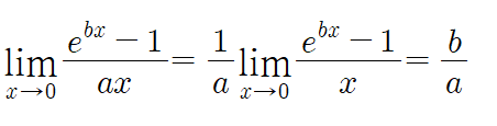
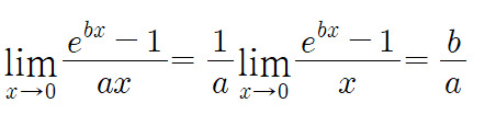
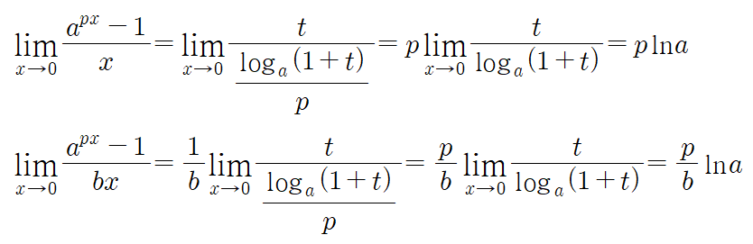
x가 0으로 가면 ax도 0으로 가기 때문에,
아래와 같이 치환해서 일반화 할 수 있습니다.

괄호에서 1의 왼쪽 부분의 항과 지수부분을 곱해서 남는 수를 e의 지수에 올려주시면 됩니다.


얘도 방법은 똑같습니다.

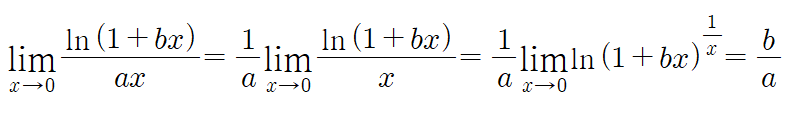
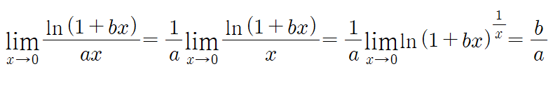
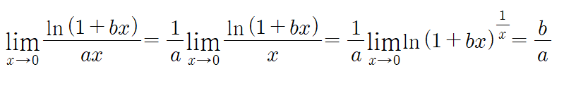
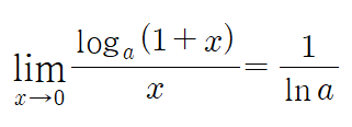
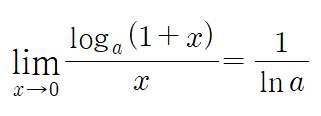
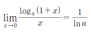
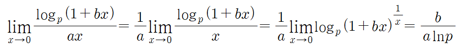
이제 로그함수의 극한을 살펴볼까요?

분모와 분자의 x 앞의 계수를 그냥 그대로 읽어주시면 됩니다.

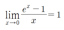
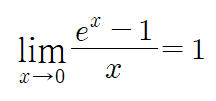
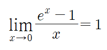
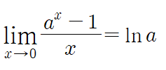
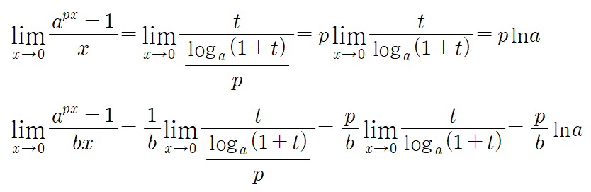
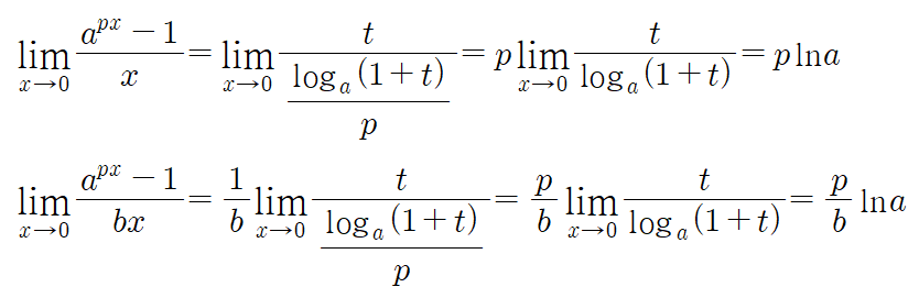
지수함수의 극한을 살펴봅시다.



얘도 분모/분자의 x 계수만 순서대로 보면 됩니다.

밑이 e가 아닌 로그는 좀 더 신경쓰셔야 합니다.


마지막입니다. 힘냅시다.


눈으로만 보지 말고 꼭 손으로 써서 직접 증명해보시기 바랍니다.

아래 첨부파일은 나중에 수정용 한글파일이니 열어보지 않으셔도 됩니다.
열공합시다!
반응형
'고등수학 (2015 개정 교육과정) > 미적분' 카테고리의 다른 글
| 극한 근사 - 사인법칙, 문제 풀이 (20년 6월 28번, 21년 9월 28번) (0) | 2024.05.31 |
|---|---|
| 미적분 외워야하는 공식 정리 (TEST지 포함) (4) | 2023.09.10 |
| 삼각함수로 치환되는 적분법 (0) | 2023.06.17 |
| [급수] 수렴/발산 판단 알고리즘 (0) | 2020.02.16 |