반응형
24.08.17 (1-cosax) / x^2, (secax-1) / x^2 추가 추가
23.10.27 lnx 추가
미적분은 외워야 할 공식이 한 두가지가 아니죠. 워낙 양이 많다보니, '미적분 공식은 다외웠니?'라고 물어보면서도 체크해야 할 게 너무 많더라고요. 그래서 간단하게 포스팅 남겨봅니다. 완전 기본적인 내용은 제외했습니다. 아래 내용 정도는 숙지해주셔야 합니다.
1. 급수

2. 지수/로그함수의 극한

3. 삼각함수의 극한

4. 여러가지 미분법

5. 부정적분

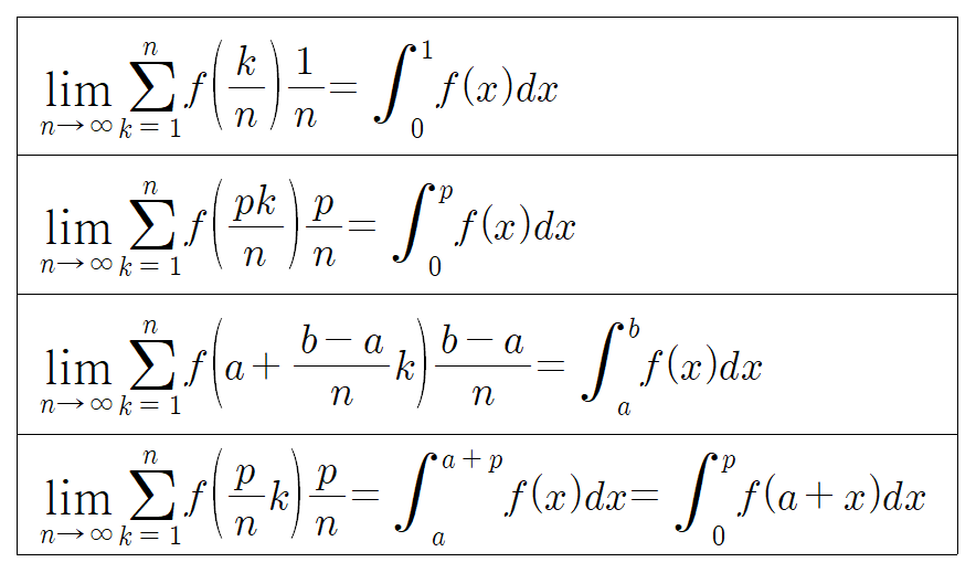
6. 정적분의 활용

속도, 가속도, 곡선의 길이 등은 쉬워서 넣지 않았습니다.
아래는 제가 아이들 복습용으로 쓰고 있는 시험지이며, 불시에 업데이트 될 수 있습니다.
23/10/27 lnx 적분 추가
24.08.17 cos, sec 추가
삼각함수의 미분법 같은 경우 순서대로 물어보면 잘 대답하는데, 콕 집어 csc 미분법을 물어보면 모르는 경우가 있길래, 순서는 일부러 랜덤하게 섞었습니다.
기본 공식 다 외워도, 간단한 문제 푸는데 속도가 잘 안 나올 수 있습니다. 빨리 나올 때까지 연습 많이 하세요.!
반응형
'고등수학 (2015 개정 교육과정) > 미적분' 카테고리의 다른 글
| 극한 근사 - 사인법칙, 문제 풀이 (20년 6월 28번, 21년 9월 28번) (0) | 2024.05.31 |
|---|---|
| 삼각함수로 치환되는 적분법 (0) | 2023.06.17 |
| [지수함수와 로그함수의 극한] 외워두면 좋은 기본 공식 (0) | 2020.03.14 |
| [급수] 수렴/발산 판단 알고리즘 (0) | 2020.02.16 |