오늘은 등차수열의 합의 형태를 관찰함으로써
등차수열의 일반항을 빨리 구해보도록 하겠습니다.

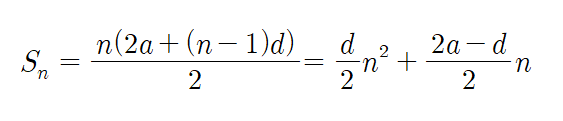
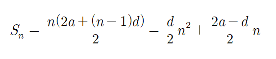
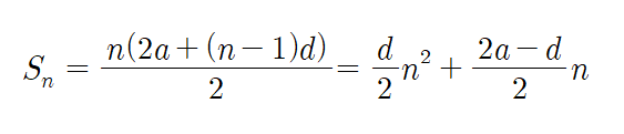
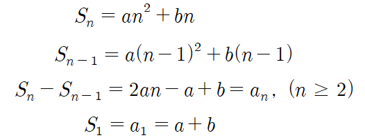
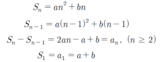
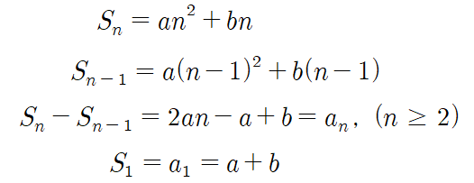
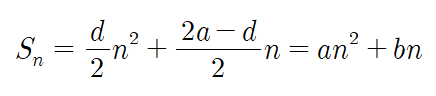
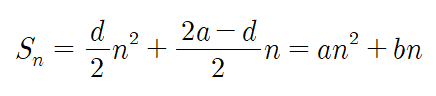
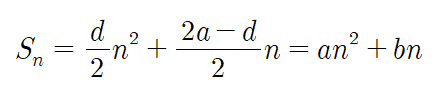
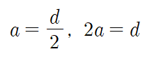
우선 등차수열의 합 공식을 살펴볼까요?

식에서 a와 d는 첫째항과 공차로 상수입니다.
문자중 n만 변수죠.
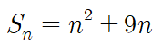
그래서 준 식을 n에 대한 식으로 정리해보면,
상수항이 없는 이차식의 형태가 나옵니다.
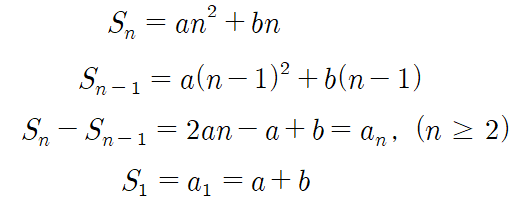
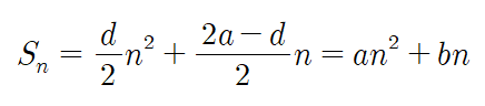
반대로 상수항이 없는 이차식도 살펴봅시다.

이것도 일반항을 구해보니 첫번째 항부터 등차수열의 합이 되네요.
즉, 등차수열의 합 = 상수항이 없는 이차식이 되는군요.
그렇다면 지금부터는 둘의 관계를 살펴봅시다.

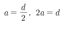
이차항 계수만 비교해보면

이 식의 의미를 살펴봅시다.
그러니까 상수항이 없는 이차식은 등차수열의 합 공식인데,
이차항의 계수 x 2 = 공차가 나온다는 사실!
게다가 S1 = a1이므로 일반항을 바로 구할 수 있죠.
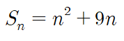
그럼 연습해볼까요?

이차항 계수가 1이므로, 공차는 2입니다.
그리고 S1 = 10 = a1이므로 일반항 an=2n+8이죠

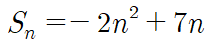
이차항 계수 2이므로 공차는 4
S1=5=a1이므로 일반항 an=4n+1

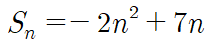
이차항 계수가 -2이므로 공차는 -4
첫항이 5이므로 일반항 an=-4n+9
참 쉽죠?
만약 공차와 첫항을 아는데, 일반항이 바로 안나온다면,
이전에 등차수열의 일반항 빠르게 구하는 방법을 포스팅해두었으니,
아래 내용을 다시 복습하세요.^^
ladyang86.tistory.com/22?category=791795
[등차수열] 등차수열의 일반항 쉽고 빠르게 구하는 방법
등차수열의 일반항을 좀 더 빠르게 구하는 방법을 알아봅시다. 등차수열의 일반항을 잠깐 살펴보죠. a와 d는 첫째항과 공차로 이미 고정되어 있는 상수입니다. 요 일반항 식에서 변수로 볼 수 있
ladyang86.tistory.com
'고등수학 (2015 개정 교육과정) > 수학1' 카테고리의 다른 글
| 지수, 로그 - 두 가지 방법으로 푸는 문제 (0) | 2021.03.20 |
|---|---|
| 지수/로그함수 그래프로 대소비교(ㄱㄴㄷ문제) (0) | 2020.11.07 |
| [삼각함수의 활용] 삼각형의 넓이 공식 5가지 (0) | 2020.10.04 |
| [등차수열] 등차수열의 일반항 쉽고 빠르게 구하는 방법 (0) | 2020.03.16 |
| [지수함수/로그함수] 고난도 역함수 구하는 문제 (0) | 2020.02.21 |