반응형
지수/로그함수 그래프 ㄱㄴㄷ 문제가 최근 다시 나오고 있죠.
그래프를 정확하게 그려서 추론하는 문제인데,
수능특강과 6,10월 모의고사에 모두 나온 문제라
수능보기 전에 정리하고 들어갑시다..!
아래 있는 문제들 열심히 풀어볼까요?
문제의 의도는 교점을 직접 구하라는 게 아닙니다.
1. 근처의 값들을 이용하여, 대소를 비교.
2. 평균변화율로 해석.
3. 대칭성을 적극 이용.
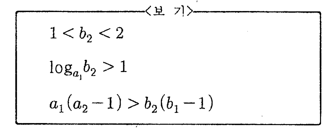
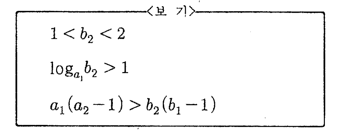
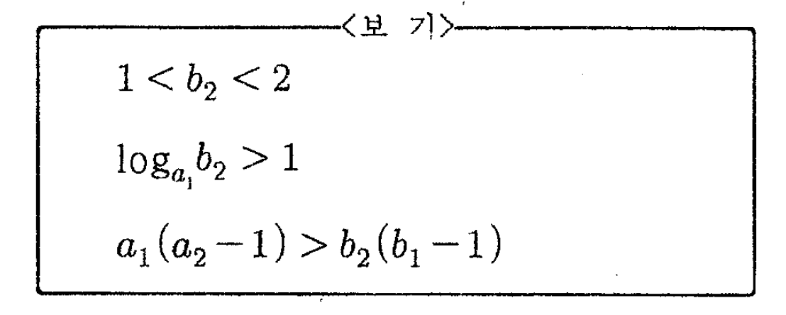
6월 21번


1.2.3번을 모두 사용하는 문제죠.

10월 21번

ㄴ이 가장 어려움.
왜냐하면 세제곱근2를 함수에 각각 넣어보면,
2의 -세제곱근2 승과 1/3을 비교해야하는데 밑이 달라 직접 비교가 어려움.
그래서 세제곱근2 < 2√2 < 3과 같이 중간에 2√2를 끼워서 비교해야 함.
이걸 어떻게 생각하지..?
숫자를 보아하니 다른 수는 쉽게 될 거 같지 않은데..?

수능특강 Lv3 #2


2011년도 수능 나형 16번


* 아래는 내신 시험에 출제 되었던 그래프 해석하는 문제 모음입니다.
2021-2-1-m 창덕여고

정답 : ㄱ, ㄷ
2021-2-1-m 두루고

정답 : ㄱ
2019-2-1-m 양지고


정답 : ㄱ, ㄴ

내신 문제와 풀이는 불시에 추가될 수 있습니다.
반응형
'고등수학 (2015 개정 교육과정) > 수학1' 카테고리의 다른 글
| 거듭제곱근 중 실수인 것의 개수 (0) | 2021.04.18 |
|---|---|
| 지수, 로그 - 두 가지 방법으로 푸는 문제 (0) | 2021.03.20 |
| [삼각함수의 활용] 삼각형의 넓이 공식 5가지 (0) | 2020.10.04 |
| [수열] 등차수열의 합으로부터 등차수열의 일반항 빨리 구하는 방법 (0) | 2020.06.28 |
| [등차수열] 등차수열의 일반항 쉽고 빠르게 구하는 방법 (0) | 2020.03.16 |