일반적으로 지수를 맨 처음에 배울 땐,
밑이 서로 다른데 지수법칙을 이용하여
원하는 값을 구하는 문제들이 나옵니다.
이번엔 밑이 같은 경우를 해볼게요.
로그를 배우기 전에는
지수를 변형해서 풀어야 하기 때문에,
조금 어렵게 느껴질 수도 있어요.

로그를 배운 후라면
큰 고민없이 그냥 로그로 푸셔도 됩니다.
문제1
2017학년도 경찰대 기출

sol1) 지수로 풀기
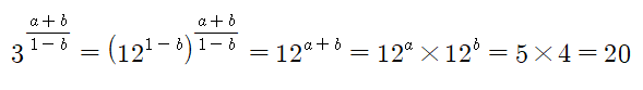
구해야 하는 식의 밑이 3이죠.
그런데 우리가 문제 조건에서 주어진 숫자는
밑인 12와 5,4입니다.
이걸 갖고 3을 만들어보는게
바로 이 문제의 포인트죠.
여기서 12를 4로 나누면 3이 나옵니다.

이제 이걸 주어진 식에 대입하면 됩니다.

sol2) 로그로 풀기
뭐.. 사실 밑이 같기 때문에
로그로 풀면 다 풀립니다.
둘 다 로그로 나타내주면,
밑이 12인 로그로 나타낼 수 있죠.

그럼 덧셈과 뺄셈은 밑이 같기 때문에,
쉽게 정리가 됩니다.

분수도 밑변환 공식을 이용하면 됩니다.

그대로 지수에 올려서,
계산하면 됩니다.

문제2
2017학년도 경찰대 기출

sol1) 지수로 풀기
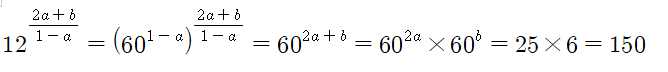
구해야 하는 식의 밑이 12이죠.
그런데 우리가 문제 조건에서 주어진 숫자는
밑인 60과 5,6입니다.
이걸 갖고 12을 만들어보는게
바로 이 문제의 포인트죠.
여기서 60를 5로 나누면 12가 나옵니다.

주어진 식에 대입하여 정리 해줍니다.

sol2) 로그로 풀기
로그를 취해주면
둘 다 밑이 60인 로그가 됩니다.

밑이 같으니 연산을 해줍니다.

밑변환 공식을 이용해서 정리하고,

지수에 그대로 올려서 계산하면 됩니다.

문제3
2022년 대비 수능특강 수학2 Lv2. #4
두 실수 a, b에 대하여

sol1) 지수로 풀기
이제 좀 감이 오시죠?
구해야 하는 밑이 25니까 5로 정리해줍니다.
15를 3으로 나누면 5가 되니까,
금방 할 수 있어요.

식을 정리해줍니다.

sol2) 로그로 풀기
각각 로그를 취해줍니다.

밑이 같으므로 연산식을 정리합니다.

밑변환 공식을 이용하여 풀어줍니다.


문제 4
2017학년도 교육청 기출

sol1) 지수로 풀기

sol2) 로그로 풀기

'고등수학 (2015 개정 교육과정) > 수학1' 카테고리의 다른 글
| 5종 교과서 수학적 귀납법 문제 모음 (2015 개정기준) (1) | 2021.06.13 |
|---|---|
| 거듭제곱근 중 실수인 것의 개수 (0) | 2021.04.18 |
| 지수/로그함수 그래프로 대소비교(ㄱㄴㄷ문제) (0) | 2020.11.07 |
| [삼각함수의 활용] 삼각형의 넓이 공식 5가지 (0) | 2020.10.04 |
| [수열] 등차수열의 합으로부터 등차수열의 일반항 빨리 구하는 방법 (0) | 2020.06.28 |