오늘은 절대 부등식 중 코시/슈바르츠 부등식에 대해서 알아볼 예정입니다.

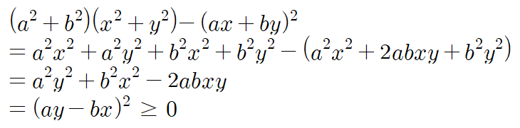
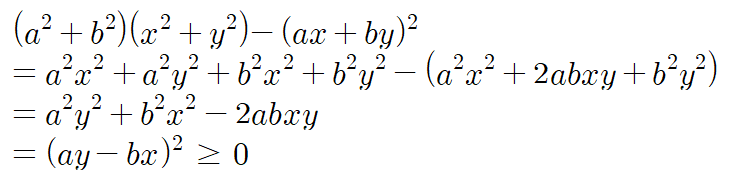
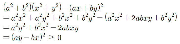
우선 코시-슈바르츠 부등식은 아래와 같아요.

증명은 일반적인 부등식 증명법과 같습니다.
그냥 전개해서 빼면 됩니다.

등호는 ay-bx=0일 때 성립하는 것도 같이 기억 해주시구요.
코시 부등식은 개형 자체를 통째로 외워서, 그대로 만들어주면 됩니다!
그럼 이제 본론으로 들어가봅시다.!
코시-슈바르츠 부등식 언제 쓰나요?
1. 문제에서 주어진 식과 구해야 하는 식의 관계가 제곱인 경우.
ex) 일차 & 이차, 무리식 & 일차식 등
2. 분자와 분모에 같은 문자가 있는 경우
이 경우는 산술/기하 부등식보다 훨씬 편합니다. 이건 다음 포스팅에서 이어서 할게요.^^
예제를 풀어봅시다!
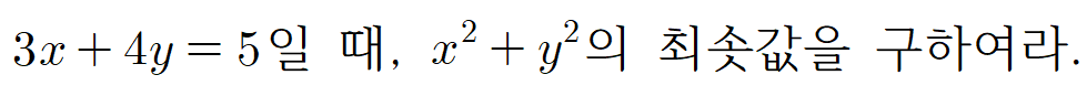
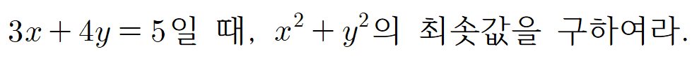
문제1

1. 주어진 식, 구해야 하는 식 이차 & 일차이므로
코시 슈바르츠 부등식을 이용하여 형태를 만든다.

2. 식을 이렇게 만든 다음에 값을 대입합니다.

문제2

1. 주어진 식, 구해야 하는 식 이차 & 일차이므로
코시 슈바르츠 부등식을 이용하여 형태를 만든다.

2. 식을 이렇게 만든 다음에 값을 대입하여 계산합니다.

문제3

이 역시 주어진 식, 구해야 하는 식 이차 & 일차이므로
코시 슈바르츠 부등식을 이용하여 형태를 만들고 계산하면 됩니다.

연습을 좀 더 하고 싶은 분들을 위해
문제를 추가로 더 수록합니다.

코시 슈바르츠 부등식은 기본적인 형태만 알고 있으면 상당히 문제가 쉽게 풀립니다.
게다가 분자와 분모에 같은 문자가 있는 경우는 산술/기하 부등식보다 훨씬 편하게 문제를 풀 수도 있어요. 이건 다음 포스팅에서 이어서 할게요.^^
영상으로 보실 분들은 아래 동영상 참고 해주세요!
'고등수학 (2015 개정 교육과정) > 고등수학(하)' 카테고리의 다른 글
| 산술기하 평균(부등식) - 기하적인 방법으로 증명하기 (0) | 2020.11.24 |
|---|---|
| [귀류법] 루트2가 무리수임을 증명. 무조건 이해되는 설명. (0) | 2020.11.14 |
| 조합과 경우의 수를 이용한 집합의 개수 (0) | 2020.10.18 |
| [절대부등식] 산술기하보다 쉬운 코시-슈바르츠 부등식 (2) | 2020.10.15 |
| [함수] 절댓값이 포함된 함수의 그래프 그리는 방법 (2) | 2020.03.08 |