오늘 포스팅하는 절댓값이 포함된 함수의 그래프는 정말 중요합니다.
수학(하)의 함수 파트 학습 후부터는 다항함수, 유리함수, 무리함수,
수학1 학습 후에 등장하는 지수함수, 로그함수에도 모두 적용될 수 있기 때문에 반드시 익혀둬야 하는 개념이에요.
그리는 방법 중 나오는 대칭이동 내용은 수학(상)에 나오므로,
기억이 안 나면 반드시 리마인드 하셔야 합니다.
그럼 시작해봅시다.
절댓값이 포함된 그래프는 절댓값 기호를 풀어서 차근차근 생각하시면 됩니다.


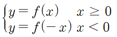
절댓값 기호 안에 들어있는 문자가 x이므로
이걸 기준으로 범위를 나눠주시면 됩니다.
즉,

x가 0이거나 음수인 범위에서는 원래 함수를 그려주시고,
x가 음수인 범위에서는 x 대신 -x가 들어갔으므로,
원래 함수를 y축으로 대칭한 함수를 그리면 됩니다.




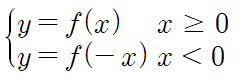
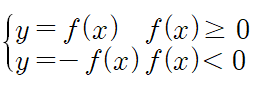
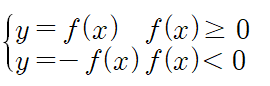
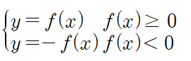
절댓값 기호 안에 들어있는 문자가 y이므로
이걸 기준으로 범위를 나눠주시면 됩니다.
즉,

y가 0이거나 음수인 범위에서는 원래 함수를 그려주시고,
y가 음수인 범위에서는 y 대신 -y가 들어갔으므로,
원래 함수를 x축으로 대칭한 함수를 그리면 됩니다.




얘는 절댓값 기호가 들어간 문자가 2개네요.
그래서 둘 다 분류를 해주셔야 합니다.






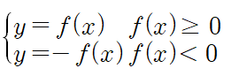
2번과 비슷하게 생겼죠? 그런데 얘는 절댓값을 판단하는 기준이 함숫값입니다.

그려지는 함수는 기준함수를 x축 대칭한 함수라
사용하는 함수는 2와 같은데, 그려지는 영역이 다른 것이죠.
생각해보면 y의 치역이 음수가 될 수 없으므로,
함숫값이 음수인 부분을 없앤다
-> x축 대칭시켜 꺾어 올린다고 기억합시다.

정리해볼까요?

위 내용은 고3 때까지 계속 나오므로,
다양하게 함수의 모양을 바꾸어가며 그리는 것을 연습해보세요!
아래는 수정용 한글파일이니 굳이 보실 필요 없습니다.
'고등수학 (2015 개정 교육과정) > 고등수학(하)' 카테고리의 다른 글
| 산술기하 평균(부등식) - 기하적인 방법으로 증명하기 (0) | 2020.11.24 |
|---|---|
| [귀류법] 루트2가 무리수임을 증명. 무조건 이해되는 설명. (0) | 2020.11.14 |
| 조합과 경우의 수를 이용한 집합의 개수 (0) | 2020.10.18 |
| [절대부등식] 산술기하보다 쉬운 코시-슈바르츠 부등식 (2) | 2020.10.15 |
| [절대부등식] 코시 슈바르츠 부등식 증명 및 사용법 (0) | 2020.10.12 |