지수방정식, 로그방정식 치환했을 때의 근
오늘은 지수방정식이나 로그방정식에서 치환해서 푸는 유형을 다뤄볼까 합니다.

자, 우선 방정식에서 '근'이라는 건,
일반적으로 x라는 문자를 지칭합니다.
즉, 주어진 방정식에서 근이라고 불리는 건 x 대신 써도 되는 것들을 말하죠.
그런데 이게 치환해도 같아질까요?
당연히 지칭하는 대상이 달라지기 때문에, '근'이라는 용어로 퉁치지 말고 하나씩 따져가면서 꼼꼼하게 풀어주셔야 합니다. 정 헷갈린다면 치환해서 나오는 근도 새로운 문자로 둬서 구분을 해보도록 해요!
이것도 문제를 하나씩 풀어가면서 용어에 좀 익숙해져봐요! :-)
문제1

여기서 지칭하는 근은 x입니다. 치환했을 때의 치환문자 t가 근이 아니에요. 그래서 t로 치환했을 때는 해당 방정식의 두 근을 t1, t2라고 따로 잡아 주시면 좀 더 이해가 편합니다.

문제2

마찬가지로 여기서 지칭하는 근은 x입니다. 치환했을 때의 치환문자 t가 근이 아니에요. 그래서 t로 치환했을 때는 해당 방정식의 두 근을 t1, t2라고 따로 잡아 주시면 좀 더 이해가 편합니다.

이 문제는 곱셈공식의 변형으로 풀어도 되긴 하는데, 값이 나와 있으므로 직접 제곱해서 계산해도 되겠죠?
문제3


제곱해서 18이 되는 수 중, 양수를 고르셔야겠죠?
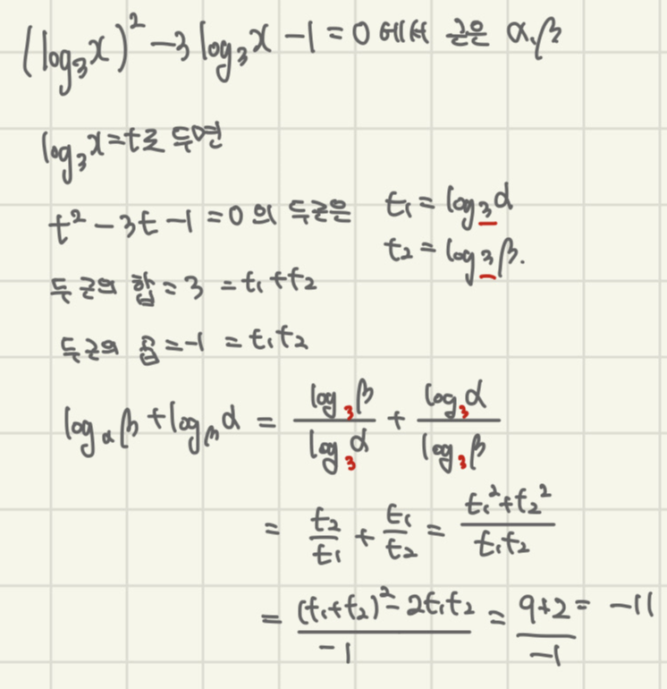
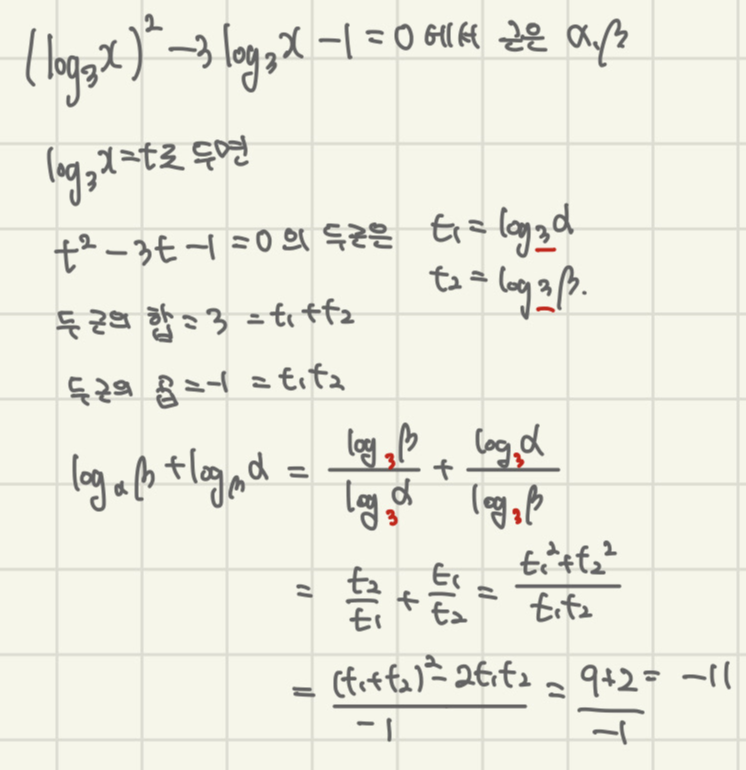
문제4

이 경우는 밑변환 공식을 이용하여 밑을 모두 3으로 바꿔줘야 정리가 되겠죠?

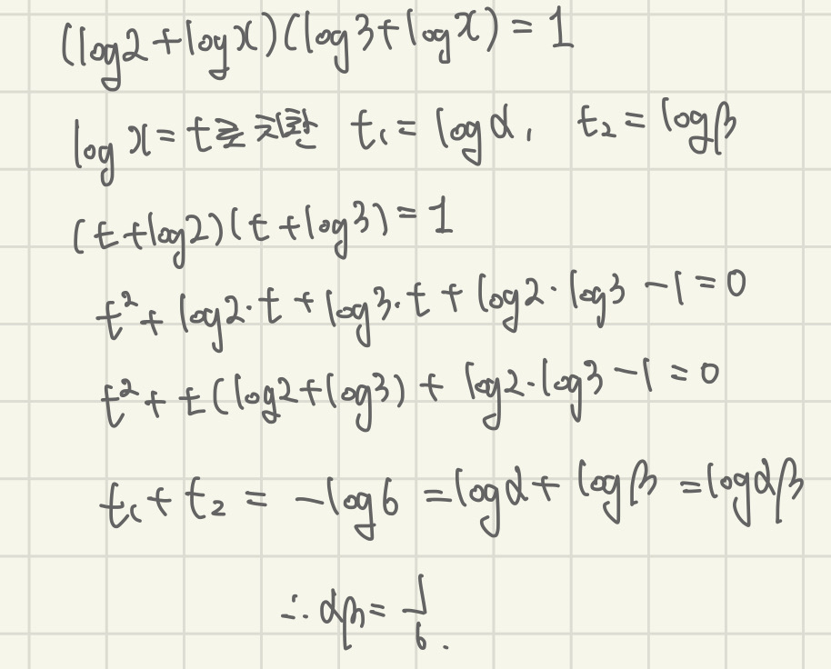
문제5


문제6


물론 아래와 같이 근의 공식으로 t를 구한 다음 x를 직접 구하셔도 됩니다만,

아무래도 치환보다 좀 더 어렵죠?
그래서 치환을 최대한 적극적으로 쓰도록 합시다!
혹시 이후에 비슷한 문제 중 다뤄야 하는 유형이 있다면 더 추가할게요.!
치환하는 유형은 원래 제시된 근의 형태가 바뀐다는 사실만 기억하시면 어지간한 건 다 풀릴거에요.
그럼 열심히 연습합시다.
'고등수학 (2015 개정 교육과정) > 수학1' 카테고리의 다른 글
| 지수 - 곱셈 공식의 변형, 치환해서 풀기 (0) | 2022.04.16 |
|---|---|
| 두 동경의 위치관계 총정리 (같음, 원점대칭, x축, y축 대칭, y=x 대칭 등) (0) | 2022.04.06 |
| 거듭제곱근 정의 관련 문제 모음 (0) | 2022.03.30 |
| 점화식 an+1=pan+q꼴 일반항 알고리즘 및 예제 (0) | 2022.02.06 |
| 시그마 기호의 성질 정리 (증명과 주의점) (0) | 2022.01.22 |