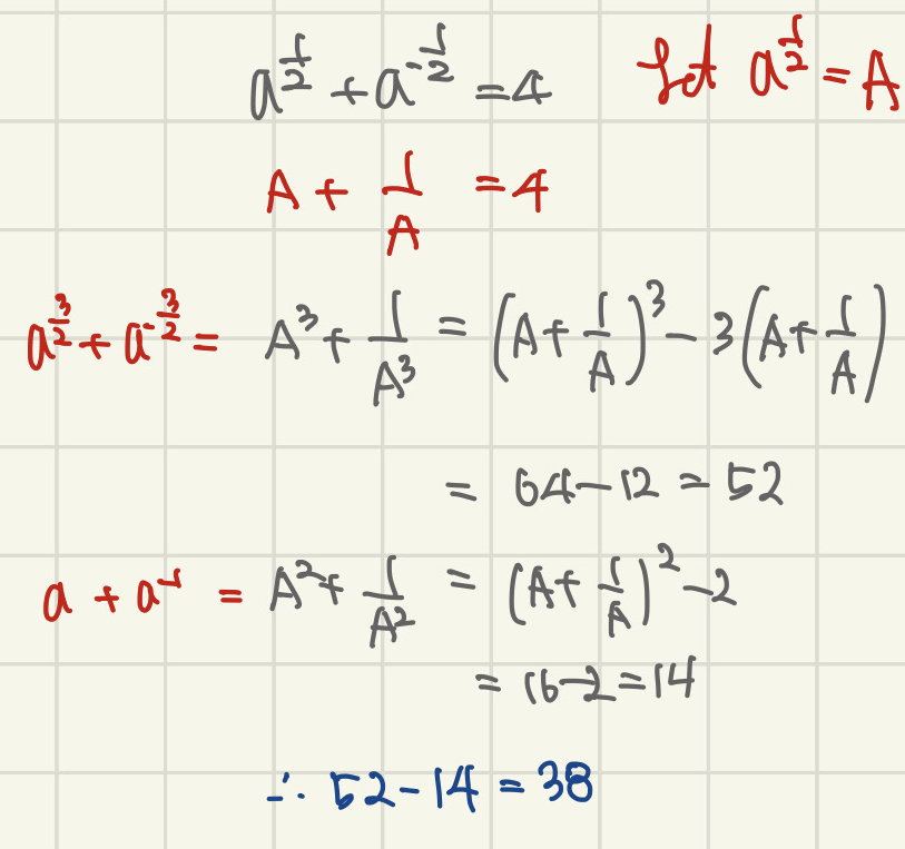
지수에 분수가 들어가 있으면 치환해서 푸는 게 훨씬 편합니다. 그래서 오늘은 지수 단원에서 배우는 내용 중, 곱셈 공식 쓰는 유형을 모두 치환으로 풀어볼 거예요.

1학년 때 우리를 괴롭혔던 곱셈 공식, 계속 나오네요. 혹시 까먹으셨으면 먼저 공식 복습부터 해오시고요..!
이건 번거롭더라도 되도록이면 치환해서 풀길 권하는 바입니다.
그럼 무얼 치환하느냐? 가장 작은 분수의 거듭제곱을 치환하는 편이 쉽습니다.
솔직히 어려운 내용은 아닌데, 풀려보면 의외로 오답률은 높거든요.
아는 문제라고 빨리 풀고 넘어가려고 하지 말고, 꼼꼼하게 풀어서 맞추시길 바랍니다.
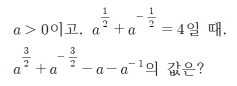
문제 1


문제 2


문제 3


이것도 비슷한 유형 중 좋은 문제가 있으면 문제를 더 추가하도록 할게요!
얼마 남지 않은 중간고사 준비 열심히 하시고, 내가 지수 파트 개념을 제대로 알고 있는지 아래 내용들도 같이 복습하시길..!
지수/로그 방정식 치환해서 푸는 유형
지수방정식, 로그방정식 치환했을 때의 근 오늘은 지수방정식이나 로그방정식에서 치환해서 푸는 유형을 다뤄볼까 합니다. 자, 우선 방정식에서 '근'이라는 건, 일반적으로 x라는 문자를 지칭합
ladyang86.tistory.com
거듭제곱근 정의 관련 문제 모음
중3 때 배운 제곱근이 수학1에서는 거듭제곱근으로 확장돼서 나옵니다. 이 부분이 특히 개념이 어렵죠. 계속 반복해서 정의를 읽고 외우셔야 합니다. 그래서 우선은 거듭제곱근 관련 문제를 쭉
ladyang86.tistory.com
거듭제곱근 중 실수인 것의 개수
거듭제곱근 중 실수의 개수에 관한 문제들을 풀어볼거에요. 개념 정리가 머릿속에 딱!되어있으면 굉장히 쉽게 풀 수 있습니다. 우선 거듭제곱근의 정의는 아래와 같습니다. 보통 근호를 이용해
ladyang86.tistory.com
지수함수와 로그함수의 평행이동, 대칭이동 주의사항
지수함수와 로그함수의 평행이동 또는 대칭이동에 대해 살펴봅시다. 기본적인 평행이동/대칭이동은 다들 아실테니 설명을 생략하고 넘어가겠습니다. 오늘은 종종 내신에서 다루는 지수함수 또
ladyang86.tistory.com
'고등수학 (2015 개정 교육과정) > 수학1' 카테고리의 다른 글
| [지수함수, 로그함수] 성질 설명 문제 모음 (0) | 2022.04.26 |
|---|---|
| [지수] 거듭제곱근 실근의 개수 (내신 선별) (0) | 2022.04.17 |
| 두 동경의 위치관계 총정리 (같음, 원점대칭, x축, y축 대칭, y=x 대칭 등) (0) | 2022.04.06 |
| 지수/로그 방정식 치환해서 푸는 유형 (0) | 2022.04.01 |
| 거듭제곱근 정의 관련 문제 모음 (0) | 2022.03.30 |