오늘은 표본평균에 관한 개념과 확률 직접 구하는 법을 좀 다뤄볼까 합니다. 왜냐면 이 부분을 가르치다보면 다들 이해는 완벽하게 못한 채 공식만 기계적으로 외워서 푸는 것 같은 느낌이 들기 때문이랄까요..? 가끔 표본평균의 확률을 직접 구하는 문제가 나오면 아에 해석을 못하는 경우도 종종 보이고.. 그래서 작성합니다!

표본평균은 뽑은 표본의 평균입니다. 즉 n개의 표본을 추출했다고 하면 아래와 같죠.

이렇게만 설명하면 별로 와닿지 않을테니, 직접 문제를 풀면서 한 번 이해해보도록 하죠!
상자에 숫자 1,3,5,7,9가 하나씩 적힌 다섯 장의 카드가 들어있다고 합시다.
크기가 5인 이 모집단에서 한 장의 카드를 임의추출할 때, 카드에 적힌 숫자를 확률변수 X라고 하면 X의 확률분포는 다음과 같습니다.

이걸 모집단의 분포라고 하죠. 여기에서 모평균과 모분산은 아래와 같이 이산확률변수에서 구하던 그대로 계산하시면 됩니다.

자, 이제부터 이 모집단에서 표본을 추출할 겁니다. 우선은 크기가 2인 표본을 임의로 복원추출 할게요. 이 때 첫 번째에 추출한 카드의 숫자를 X1, 두 번째에 추출한 카드의 숫자를 X2라 합시다. 표본평균은 뽑은 표본을 평균낸 값이므로 아래와 같이 구합니다.

만약 상자에서 처음 뽑은 숫자가 3이고, 두번째 뽑은 숫자가 7이라면, 표본평균은 5가 되겠죠?

그럼 숫자를 다른 걸 뽑으면 달라지지 않나요?

맞습니다.
숫자를 뭘 뽑느냐에 따라 표본평균은 계속 달라지죠. 그래서 일종의 확률변수로 봅니다. 어떤 숫자가 뽑힐지 모르기 때문에, 평균이나 분산을 위해 표본평균을 구할 때에는 모든 경우의 수를 다 구해줘야 합니다.

즉 여기서 표본평균이 가질 수 있는 값은 1,2,3,4,5,6,7,8,9이고, 이에 대응하는 확률을 조사하면 아래와 같은 확률분포를 가집니다.

이 때 표본평균의 평균과 분산을 구해보면 아래와 같습니다.

표본평균의 평균은 모평균과 같고, 표본평균의 분산은 모분산의 1/2이죠. 그래서 표본평균의 평균, 분산, 표준편차를 구하는 문제는 그냥 모집단의 분포로 구하시는 편이 더 빠릅니다. 그런데 만약 표본평균이 3일 때의 확률을 구해라. 이런 걸 물어본다면 위에서 구한 것과 마찬가지로 (x1,x2)=(5,1), (3,3), (1,5)가 되는 경우를 다 세어야 하는 거죠.
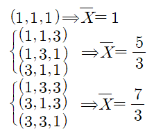
이해를 돕기 위해 여기서 크기가 3인 표본을 추출해서 살펴보도록 할게요.

이때부터는 크기가 2인 경우처럼 표로 나타내기가 좀 힘듭니다. 우선 변수가 3개이기 때문에 2차원으로 나타내기는 힘들죠. 입체를 쌓아서 계산할 수도 없으니 순서쌍을 다 나열해서 풀어야 합니다.

.
.
.

그리고 확률을 구하라고 하면 순서쌍의 개수에 맞는 경우를 모두 세서 구해야 합니다.



위의 예제는 모집단의 각 확률이 모두 같은 경우라 좀 쉽게 구했네요. 이번에는 다른 경우에도 해봅시다.




이 때 표를 보고 단순히 칸이 9개인데, 20이 3칸이므로 3/9이라고 쓰면 절대 안됩니다!!
모집단에서 각 변수가 나올 확률이 다 다르기 때문에 확률을 경우별로 각각 계산해야 합니다.

수능 보시기 전에 이 부분 개념이 헷갈리면 꼭 개념서 내용 정독하고 들어가셔요!
그럼 모두 시험 잘 보기를 기원하며 저는 이만 물러나겠습니다.
'고등수학 (2015 개정 교육과정) > 확률과 통계' 카테고리의 다른 글
| 통계적 추정, 표본평균 고난도 문제 모음 (수능+모의고사, 내신) (0) | 2023.06.10 |
|---|---|
| [경우의 수] 최단경로 문제풀이#2 (실력정석) (0) | 2022.02.09 |
| 서로 다른,같은 공을 상자에 넣는 문제 (0) | 2021.09.04 |
| 2021년 7월 학평(인천) 확통 30번 상세 해설 - 색별로 공 넣는 문제 (0) | 2021.08.28 |
| [경우의 수/확률] 이웃하지 않게 배열하는 여러가지 방법 (1) | 2021.03.18 |