시험기간에 올리는 고난도 문제 모음 시리즈입니다.
해설을 쓸 시간을 기다리면 항상 업로드를 못 하기 때문에, 미리 문제와 정답 먼저 업로드 합니다.
모의고사 기출 문제 : 표본평균 고난도
2021년 10월 학평 확통 #30
주머니에 12개의 공이 들어 있다. 이 공들 각각에는 숫자 1,2,3,4 중 하나씩이 적혀 있다. 이 주머니에서 임의로 한 개의 공을 꺼내어 공에 적혀 있는 수를 확인한 후 다시 넣는 시행을 한다. 이 시행을 4번 반복하여 확인한 4개의 수의 합을 확률변수 X라 할 때, 확률변수 X는 다음 조건을 만족시킨다.
(가) P(X=4) = 16P(X=16)=1/81
(나) E(X)=9
V(X)=q/p일 때, p+q의 값을 구하시오. (단, p와 q는 서로소인 자연수이다.)
정답 : 23
2023년 9월 모평 확통 #29
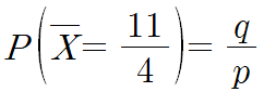
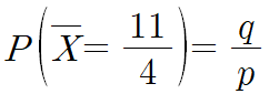
1부터 6까지의 자연수가 하나씩 적힌 6장의 카드가 들어 있는 주머니가 있다. 이 주머니에서 임의로 한 장의 카드를 꺼내어 카드에 적힌 수를 확인한 후 다시 넣는 시행을 한다. 이 시행을 4번 반복하여 확인한 네 개의 수의 평균을

라 할 때,

이다. p+q의 값을 구하시오.
(단, p와 q는 서로소인 자연수이다.)
정답 : 175
2022학년도 수능예시문항 확통 #30
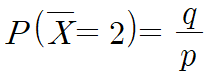
주머니 A에는 숫자 1,2가 하나씩 적혀 있는 2개의 공이 들어 있고, 주머니 B에는 숫자 3,4,5가 하나씩 적혀 있는 3개의 공이 들어 있다. 다음의 시행을 3번 반복하여 확인한 세 개의 수의 평균을

라 하자.
두 주머니 A,B 중 임의로 선택한 하나의 주머니에서 임의로 한 개의 공을 꺼내어 공에 적혀 있는 수를 확인한 후 꺼낸 주머니에 다시 넣는다.

일 때, p+q의 값을 구하시오.
(단, p와 q는 서로소인 자연수이다.)
정답 : 71
내신 기출 문제 : 통계적 추정 고난도 (표본평균, 표본분산, 표본표준편차)
크기가 5인 표본 1,3,5,7,9에 대하여 표본평균과 표본분산의 합은?
정답 : 15

정답 : 392

정답 : -27

정답 : 51/10

정답 : 500/3
실제로 제가 학생들 수업하는 용도로 활용하는 포스팅이기에,
문제 혹은 설명이 불시에 추가될 수 있습니다.
'고등수학 (2015 개정 교육과정) > 확률과 통계' 카테고리의 다른 글
| 처음으로 특정 지점에 도착하는 문제 모음 (0) | 2024.05.11 |
|---|---|
| 합성함수 원소의 개수 - 경우의 수, 확률 선별문항 (0) | 2024.04.06 |
| [경우의 수] 최단경로 문제풀이#2 (실력정석) (0) | 2022.02.09 |
| 표본평균 개념 + 직접 구하는 법 (2) | 2021.11.17 |
| 서로 다른,같은 공을 상자에 넣는 문제 (0) | 2021.09.04 |