이전에 이차방정식을 배우면서
계수를 통해 근을 빨리 구하는 방법을
배웠던 것 기억 나시나요?
근이 역수거나, 음수인 경우에는
금방 구할 수 있었죠.
만약 기억이 안 나신다면
아래 포스팅을 꼭꼭 복습해주시구요..!
https://ladyang86.tistory.com/45
[이차방정식 꿀팁] 역수를 근으로 갖는 방정식 빨리 구하는 방법
오늘은 이차방정식에서 계수를 통해 근을 빨리 구하는 방법을 배워보도록 할게요. 원래는 근과 계수와의 관계를 이용하여 합과, 곱을 구하고 식을 직접 구성하면 됩니다. 그렇지만, 객관식인 경
ladyang86.tistory.com
오늘은 이걸 확장해서
삼차방정식인 경우에도 구해볼 거에요.
객관식인 경우에는
아래와 같이 바로 구하시면 됩니다.

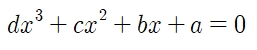
삼차방정식은 최고차계수에 따라
그냥 둘 다 실어놓은거라,
사실은 식이 그냥 3개입니다.ㅎㅎ
물론 그냥 외워!는 아니고,
왜 그런지 지금부터 설명 해드릴게요!
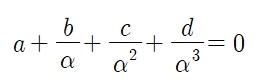
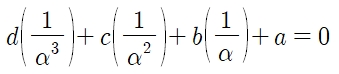
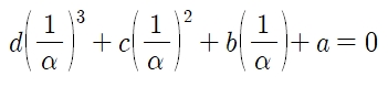
1. 역수를 근으로 갖는 삼차방정식 구하기

자 차근히 식을 써보면서 따라 와요!

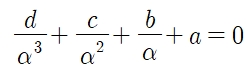
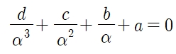
항의 순서를 거꾸로 써서
정리해볼게요.

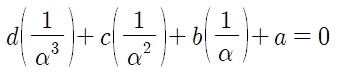
괄호를 이용하여 표현해보겠습니다.

제곱형태도 정리해준다면 이렇게 되겠네요.

아니 이것은!!


이렇게 생긴 방정식의


위와 같은 방법을 사용한다면
나머지 근들도 증명할 수 있습니다.
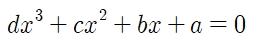
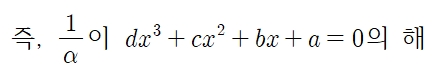
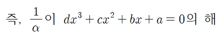
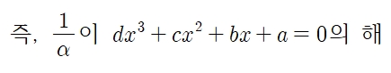
즉, 계수의 순서를 반대로 쓴 방정식은,
원래 방정식 근의 역수를 근으로 갖습니다.
실전연습 한 번 해볼까요?

어차피 방정식의 양변에 같은 수를 곱해도
성립하기 때문에,
계수는 조금씩 변형돼서 나올 수 있어요.
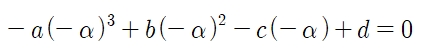
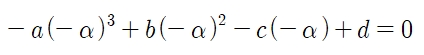
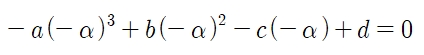
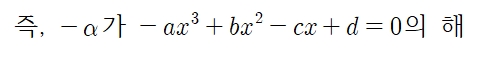
2. 부호가 다른 근을 갖는 삼차방정식

기본식에서 동일하게 시작합니다.

마이너스 x 마이너스=플러스이므로,
x=-(-x)꼴로 변형해줍니다.

관찰을 한 번 해보죠.
위 식은


계수에 마이너스 부호가 붙어있음
보기 좀 별로니(?)
양변에 -1을 곱해서 정리해봅시다.
어차피 등식의 성질에 의해
등호가 성립하므로 근에는 변화가 없습니다.

계수가 +-+- 혹은 -+-+과 같이
부호가 번갈아가며 반대로 나오는 경우,
원래 방정식 근에 -를 붙인 값을 근으로 갖습니다.
실전 연습 한 번 해보죠.

삼차부터는 이차와 달리, x 대신 -x 대입시,
최고차 계수의 부호가 달라지기도 하고,
중간에 이차항이나 일차항 계수가 0인 경우도
있기 때문에 꼭 꼼꼼하게 검토 해보세요.
3. 역수에 부호도 반대인 근을 갖는 삼차방정식
위에서 배운 둘을 잘 섞어주시면 됩니다.
즉, 계수를 역방향으로 쓴 다음,
+-+- 혹은 -+-+
계수의 부호를 번갈아가며
바꿔주면 됩니다.
연습문제

오늘 배운 내용을 복습해볼까요?

사실 이 원리는 모든 다항방정식에 적용됩니다.
사차,오차 그 이상의 고차방정식에도
동일하게 적용되죠.
n차로 두신 다음 같은 방식으로 증명한다면
성립하는 것을 보일 수 있어요.
그럼 이제 마음놓고 편하게 쓰시고,
전 다음에도 유용한 포스팅으로 찾아올게요.
그럼 안녕~!

'고등수학 (2015 개정 교육과정) > 고등수학(상)' 카테고리의 다른 글
| [원 접선의 방정식] 극선의 방정식 (0) | 2021.06.26 |
|---|---|
| 삼차방정식 f(ax+b)=0의 근에 관한 문제 (합,곱 쉽게 풀기) (0) | 2021.06.11 |
| 계수가 대칭인 상반방정식 (대칭형 사차방정식) 푸는 방법 (0) | 2021.05.08 |
| 곱셈공식, 인수분해 - 문자 세 개인 경우 총 정리 (0) | 2021.04.01 |
| 복이차식 인수분해 - 합차꼴로 변형하는 문제 정복 (0) | 2021.03.19 |