시험보기전 반드시 외우고 들어가야 할
문자 3개짜리 곱셈공식과 인수분해공식
총정리 해보았습니다.

위의 8가지 식이
바로 떠오르지 않는다면
오늘 내용 학습을 해주세요.!ㅋㅋ

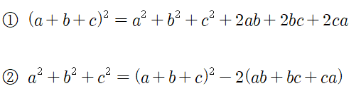
1. 기본적인 곱셈공식

사실은 중학교 때도 배우는.. 곱셈공식이죠.

②의 경우는 전개한 식을 이항하시면 됩니다.
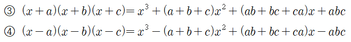
2. 방정식에서 많이 응용되는 공식

이 부분은 나중에 삼차 방정식에서
정말 많이 보실거에요.
그렇지만 a+b+c, ab+bc+ca, abc가
셋 다 들어있는 식이라
곱셈공식에서도 꽤 중요하게 나옵니다.
이 부분은 조만간
문제 모아서 포스팅 할게요.

부호 조심해서 외워주세요!
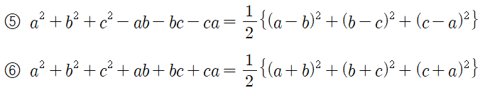
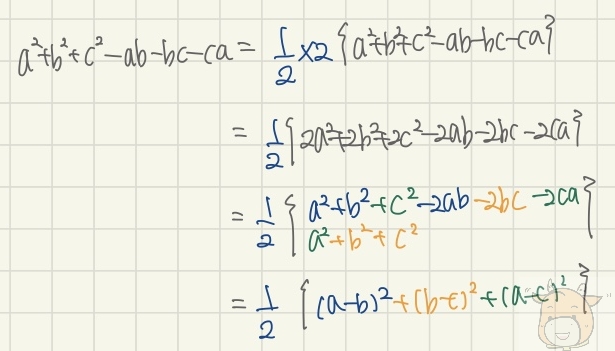
3. 삼각형과 연관돼서 많이 나오는 곱셈공식

⑤이 특히 정삼각형으로 많이 나오죠.
이 공식은 그냥 외우기 보다는
유도과정 자체를 이해하셔야 합니다.

여기서 실수의 제곱은 0보다 크기 때문에,
아래와 같이 활용이 됩니다.

이 식은 가운데 들어가는 부호가
바뀔 수도 있기 때문에
유도 과정 자체를 보라고 한건데,
뭐.. 사실 방법은 동일합니다.

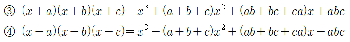
4. 나오는 문자가 3개인데, 3차?
이 공식뿐..!

이건 시험시에 까먹으면 유도가 힘들어서..
그냥 외우시는 걸 추천합니다.
근데 1학기 중간고사에서
중요도는 매우 높은 편이에요.

특히나 위와 같이 삼각형의 세 변과 함께
자주 출제되는 편입니다.
5. 알아두면 좋은 인수분해 공식

문자가 3개 쓰이는 경우에는
a+b+c, ab+bc+ca, abc와 같이
대칭식이 꽤 등장하죠.
위는 필수는 아니지만,
외워두면 유용한 공식이기 때문에
1학년 1학기 중간고사 때만
반짝-외우고 들어가시면 좋을 듯 합니다.
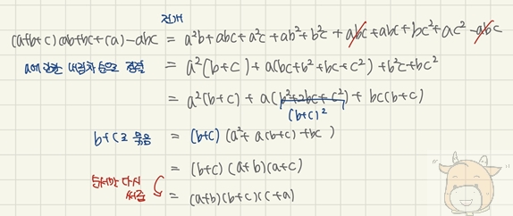
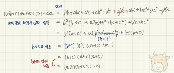
유도가 어렵진 않아요.
다만 길고 귀찮을 뿐..

수학(상) 특히 첫 부분이
인수분해, 곱셈공식 등
암기하는 부분이 많아서
개인적으로 학습하는데 가장
힘들었던 것 같아요.
막상 지나고 보면 별거 아닌건 아니지만..
얼마 남지 않은 중간고사
까먹은 공식은 없는지
열심히 대비하시기 바라며
다음에도 유용한 포스팅 들고
찾아오겠습니다.
'고등수학 (2015 개정 교육과정) > 고등수학(상)' 카테고리의 다른 글
| 삼차방정식 - 역수를 근으로 갖는 방정식 외 기타 (0) | 2021.05.31 |
|---|---|
| 계수가 대칭인 상반방정식 (대칭형 사차방정식) 푸는 방법 (0) | 2021.05.08 |
| 복이차식 인수분해 - 합차꼴로 변형하는 문제 정복 (0) | 2021.03.19 |
| 곱셈공식의 변형 - (문자가 2개인 경우, 거듭제곱) (0) | 2021.03.05 |
| 삼각형 무게중심 성질 (m:n 내분점의 무게중심, 거리 제곱의 합) (0) | 2021.02.13 |