오늘은 문자가 2개인 경우,
거듭제곱꼴이 나올 때를
다루어볼거에요.
싹 다 곱셈공식의 변형으로
풀어보겠습니다.

위의 11개식 다 유도할 줄 알면,
여기서 뒤로 가셔도 됩니다.^^
아니라면 같이 공부해요!

유도해야 할 식이 많으니,
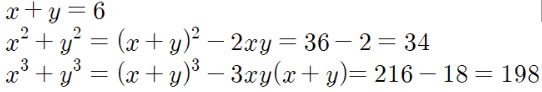
전부 X+Y=3, XY=2일 때로 둘게요.
하나씩 해봅시다.

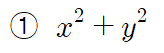
가장 기본적인 곱셈공식의 변형입니다.

공식을 사용해서 바로 풀면 됩니다.

이거 모르면 뒷 문제 풀지말고
아래에 링크 걸어둔
중3용 곱셈공식의 변형부터
복습하고 돌아옵시다.
곱셈공식의 변형 연습용 문제 모음
가장 기본적인 이차 식변형 곱셈공식의 변형 문제 모음 Q1 Q2 Q3 Q4 Q5 Q6 Q7 Q8 Q9 Q10 Q11 Q12 Q13 Q14 곱셈공식 분수꼴 곱셈공식 분수꼴 문제 Q1 Q2 Q3 Q4 Q5 Q6 Q7 Q8 Q9 곱셈공식..
ladyang86.tistory.com

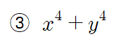
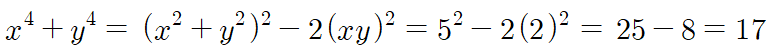
역시나 가장 기본적인
곱셈공식의 변형입니다.

공식을 사용해서
바로 풀면 됩니다.

여기서부터는 곱셈공식을 따로 외우지는 않습니다.
직접 유도해서 풀면 생각보다 간단합니다.

네제곱은 제곱을 제곱하면 됩니다.

그래서 유도는 제곱 유도하는 것과 동일하게 하시면 됩니다.

정리를 해보면 이렇게 됩니다.

그렇지만 뭐.. 굳이 외우진 마시고,
유도해서 쓰시거나,
아니면 치환해서 정리하면 되겠죠?


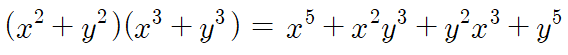
이것도 유도해봅시다.
일단은 5제곱이 되려면
2제곱과 3제곱을 곱하면 되겠군요.
두 식을 곱해서 전개를 해봅니다.

필요한 걸 제외한
나머지 항을 정리해볼까요?

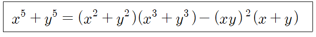
이건 구하는데 필요 없는 식이니
넘겨주면 됩니다.

그러면 완성되네요!

앞에서 이미 ①②로 값을 구한 게 있으니,
이제 대입하면 됩니다.


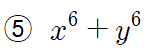
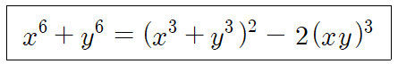
이것도 유도해봅시다.
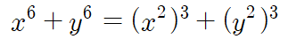
일단은 6제곱이 되려면
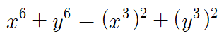
ⓐ 2제곱을 세제곱하거나,
ⓑ 3제곱을 제곱하면 되겠군요.
두 가지 방법 모두 해봅시다.
ⓐ 2제곱을 세제곱

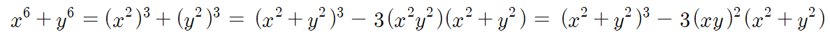
위에서 유도한 세제곱 공식을 적용합시다.



ⓑ 3제곱을 제곱

개인적으로 이쪽이 좀 더 쉬운 것 같아요.




이건 5제곱과 마찬가지입니다.
거듭제곱으로 바로 유도가 어려우니,
이미 알고 있는 값을 이용하여
형태를 만들어줍니다.
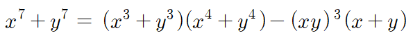
7제곱은 3제곱과 4제곱을 곱해서
만들어줄 수 있겠죠?

가운데 식은 공통 인수가 보이니
묶어서 정리를 해줍시다.

구해야 하는 식을 제외하고
다 이항해서 정리해줍니다.

대입해서 계산해주면 됩니다.


사실 굳이 7제곱까지는 안 나오지만,
유도과정을 보여주기 위해서
다 해봤습니다.
이번엔 뺄셈을 한 번 살펴볼까요?

가장 기본적인 값입니다.
이걸 알아야 뒤쪽의 값을 다 구할 수 있어요.
그렇지만 이건 제곱을 구한다음
루트를 씌우는 거라,
기본적으로 값이 2개 나옵니다.


제곱해서 1이 되는 수는 1, -1 두 개이므로,
x-y=±1 두 개입니다.
여기서 x>y이면 1이고, x<y라면 -1이 됩니다.
만약 x,y의 대소관계가 안나와 있다면
반드시 둘 다 쓰셔야 합니다.

중3때 배웠던 인수분해를 이용합니다.


외워줬던 곱셈공식을 사용합니다.


합차공식을 이용하여 풀어줍니다.
(합차는 짝수차수에는 모두 이용가능합니다.)


이것도 직접 유도해서 푸시면 됩니다.
단 가운데 부호가 뺄셈이므로,
하나는 -, 하나는 +인 두 식을 이용해줍니다.
이런 식으로요-

방법은 외울필요가 없고,
위에서 합 유도하듯이 전개후,
적절히 이항해서 정리하면 됩니다.
방법1,2는 우선 두 개만 실은거고,
다양하게 유도해서 쓰시면 됩니다.
합차형태를 배우는 이유는
주어진 두 수가 켤레수처럼
합과 곱은 간단한데
직접 대입이 어려운 경우에
사용하기 위함입니다.
마지막 연습문제 하나만 더 풀어볼게요.

x와 y는 무리수부분 부호만 다르네요.
x+y=6, xy=1로 합과 곱이 간단하죠.
주어진 식의 순서만 바꾼다음,

곱셈공식의 변형을 이용해줍니다.

따라서 구하는 값은 238입니다.
세제곱 할 줄 안다고, 직접 거듭제곱하면
시간이 엄청 오래걸리니까
꼭 곱셈공식의 변형을 이용해서 푸세요.!
'고등수학 (2015 개정 교육과정) > 고등수학(상)' 카테고리의 다른 글
| 곱셈공식, 인수분해 - 문자 세 개인 경우 총 정리 (0) | 2021.04.01 |
|---|---|
| 복이차식 인수분해 - 합차꼴로 변형하는 문제 정복 (0) | 2021.03.19 |
| 삼각형 무게중심 성질 (m:n 내분점의 무게중심, 거리 제곱의 합) (0) | 2021.02.13 |
| 정수조건 부정방정식의 해 (인수분해 형태로 바꾸기) (0) | 2020.11.21 |
| 세 점의 좌표로 삼각형의 넓이 구하는 공식 (사선공식, 신발끈공식) (3) | 2020.11.12 |