오늘은 고1 해석기하에서 배우는,
삼각형의 무게중심에 대해
간단한 정리를 해볼 예정입니다.
정의나 다른 일반적인 성질 말고,
문제풀이에 유용하게 쓸 수 있는 성질입니다.

첫째,
삼각형 내분점들의 무게중심은
원래 삼각형의 무게중심과 같습니다.

AB,BC,CA를 m:n으로 내분하는 점을 P,Q,R이라 하면,

증명은 매우 간단합니다.
PQR의 좌표를 구한다음,
무게중심을 구하면 됩니다.

즉 △ABC의 무게중심
= △PQR의 무게중심입니다.
참고로 외분점의 경우도 수식을 정리해보면 성립하는 것을 쉽게 알 수 있습니다.
둘째,
삼각형 내부의 점 중,
세 꼭짓점까지의 거리 제곱의 합이
최소가 되는 점은 무게중심이다.

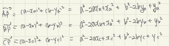
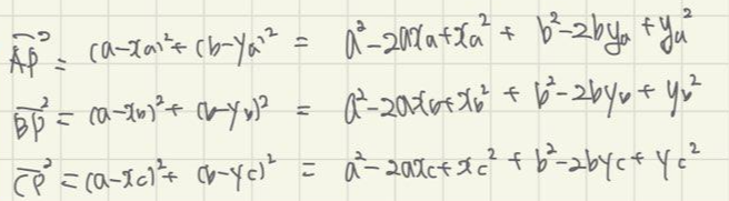
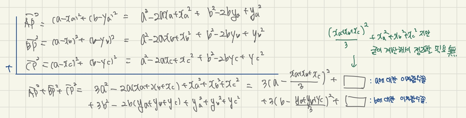
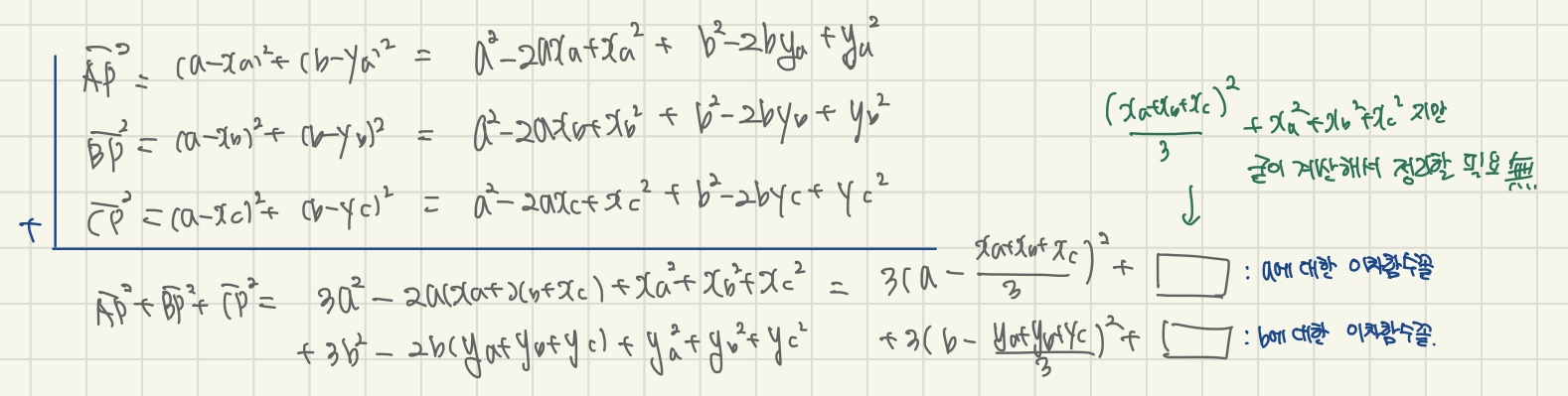
내부의 임의의 점을 P(a,b)로 두고,
세 꼭짓점까지의 거리의 제곱을 구해봅니다.

여기서 xa,xb,xc,ya,yb,yc은
주어진 삼각형의 좌표이므로 상수입니다.
이 식에서 변수는 P(a,b)이죠.
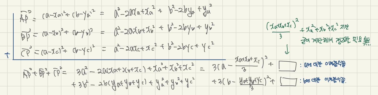
셋을 다 더한 값은
각각 a와 b에 대한 이차함수입니다.
마침 전개식의 항 중 ab는 없으니
그냥 각각의 문자에 대해 정리하면 됩니다.

우리는 점 P(a,b)의 좌표에만 관심이 있으니,
굳이 완전제곱식을 정리하지 않아도 됩니다.
그냥 축의 방정식만 써도 바로 나오지요.ㅎㅎ

다시 복습해볼까요?
1. 삼각형 내분점(외분점)들의 무게중심은 원래 삼각형의 무게중심과 같습니다.
2. 삼각형 내부의 점 중, 세 꼭짓점까지의 거리 제곱의 합이 최소가 되는 점은 무게중심이다.
증명 매번 하지말고 외워두시면 문제 푸는 속도가 많이 빨라질 거에요.
그럼 화이팅입니다.^^
'고등수학 (2015 개정 교육과정) > 고등수학(상)' 카테고리의 다른 글
| 복이차식 인수분해 - 합차꼴로 변형하는 문제 정복 (0) | 2021.03.19 |
|---|---|
| 곱셈공식의 변형 - (문자가 2개인 경우, 거듭제곱) (0) | 2021.03.05 |
| 정수조건 부정방정식의 해 (인수분해 형태로 바꾸기) (0) | 2020.11.21 |
| 세 점의 좌표로 삼각형의 넓이 구하는 공식 (사선공식, 신발끈공식) (3) | 2020.11.12 |
| [이차방정식 꿀팁] 역수를 근으로 갖는 방정식 빨리 구하는 방법 (0) | 2020.05.31 |