학교에서는 안 알려주지만 학원에선 반드시 알려주는 공식들이 있죠. 오늘 다뤄볼 내용은 그 중 하나인 신발끈 공식입니다. 삼각형의 넓이를 구할 때, 세 점의 좌표로 바로 구할 수 있는 방법이에요. 내신에서 빈출되는 유형인데, 서술형으로 나오는 경우에는 문제의 의도와 맞지 않기 때문에 공식 쓰는 걸 인정 안해주는 게 일반적이긴 하죠. 그렇지만, 계산이 맞는지 검증하는 용도로 쓰면 되고, 객관식일 때는 시간을 많이 단축시켜주니 모르면 나만 손해겠죠?

신발끈 공식
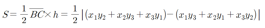
위에도 썼지만, 신발끈 공식은 좌표평면 상에서 꼭짓점의 좌표를 알 때 다각형의 면적을 구할 수 있는 방법입니다. 이따 사용방법을 보면 알겠지만, 구할 때 삼각형의 각 꼭짓점의 좌푯값을 교차하여 곱하는 모습이 신발끈을 묶을 때와 같아 이러한 이름이 붙었습니다. 가우스의 면적 공식이나 사선 공식으로도 불립니다.
역사를 잠깐 살펴보자면, 신발끈 공식은 1769년에 수학자 마이스터 알베르트 루드비히 프레드리히(Meister Albrecht Ludwig Friedrich, 1724-1788)가 발견했으며, 1795년에 가우스도 독립적으로 발견하였습니다. 다각형을 여러 개의 삼각형으로 나누는 방식으로 증명할 수 있으며, 그린 정리의 특수한 형태로 볼 수도 있습니다.
이 공식은 두 개 이상의 변들이 서로 교차하는 형태의 다각형이 아니라면, 볼록다각형이든 오목다각형이든 관계없이 적용시킬 수 있습니다. 볼록다각형/오목다각형에 관한 포스팅은 다음에 또 할게요 :-)
사용방법

1. 삼각형의 세 꼭짓점을 나열합니다.
이 때 맨 앞에 쓴 꼭짓점을 맨 뒤에 한 번 더 써줍니다.

2. 같은 형광펜 색깔끼리 사선으로 곱해서 더해줍니다.

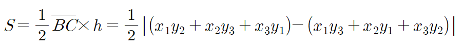
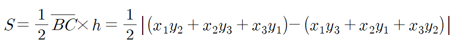
3. 계산한 값들끼리 뺀 다음 절댓값을 씌워주고 1/2배 해주면 끝..!

일반적으로 꼭짓점을 나열할 때 시계방향/혹은 반시계방향으로 나열해야 하는데, 삼각형의 경우에는 무관하니 아무렇게나 쓰셔도 됩니다.
실전 : 신발끈 공식으로 삼각형 넓이 구하기
삼각형은 꼭짓점이 세 개 뿐이라 사실은 어떤 순서로 적든 무관합니다. 그렇지만 맨 앞에 쓴 꼭짓점을 뒤에 한 번 더 쓰기 때문에, 원점과 같이 계산하기 쉬운 좌표를 두 번 쓰게끔 배치하는 게 편합니다.

어떤 순서로 적든 넓이가 같게 나옵니다.
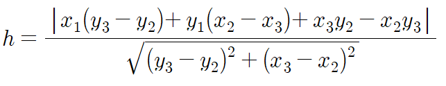
사선공식 증명 (신발끈 공식 증명)
삼각형에 한해서 증명해볼게요.!
하는 방법은 교과서에서 실린 방법과 동일합니다.

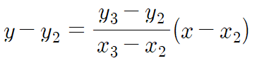
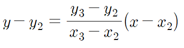
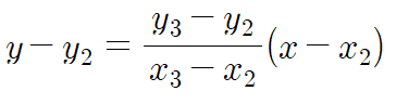
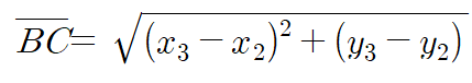
1. 점B와 점C를 지나는 직선의 방정식을 구합니다.

2. BC를 밑변으로 둘 거니까, 거리도 구해보죠.

3. 점A로 부터 직선 BC까지의 거리를
높이로 계산합니다.

4. 밑변과 높이를 곱한다음 2로 나누면 끝..!

어떤가요? 쓰고보니 똑같죠?ㅎㅎ

학년이 올라가면 삼각형의 넓이를 구하는 공식이 조금 더 늘어 난답니다.
궁금하다면 아래 포스팅을 참고해보세요.^^
https://ladyang86.tistory.com/49
[삼각함수의 활용] 삼각형의 넓이 공식 5가지
삼각함수의 활용에서는 삼각형의 넓이를 자주 구합니다. 삼각형의 넓이를 구하는 공식 5가지를 살펴볼거에요. 꼭 외워주세요! 5가지를 그냥 다 외우려면 상당히 복잡하므로, 우선 크게 1,2,3을 묶
ladyang86.tistory.com
그럼 다음에 또 유용한 포스팅으로 만나요.!

'고등수학 (2015 개정 교육과정) > 고등수학(상)' 카테고리의 다른 글
| 삼각형 무게중심 성질 (m:n 내분점의 무게중심, 거리 제곱의 합) (0) | 2021.02.13 |
|---|---|
| 정수조건 부정방정식의 해 (인수분해 형태로 바꾸기) (0) | 2020.11.21 |
| [이차방정식 꿀팁] 역수를 근으로 갖는 방정식 빨리 구하는 방법 (0) | 2020.05.31 |
| [사차방정식 근의 성질] 복이차식 치환해서 근의 부호로 풀기 (0) | 2020.03.20 |
| [절댓값] 절댓값의 성질 (방정식, 부등식, 함수에 모두 사용됨) (0) | 2020.03.15 |