반응형
삼차함수 그래프를 배우다 보면,
서로 다른 세 실근/두 실근을 갖는다는 조건을
극댓값x극솟값의 부호로 푸는 설명을 볼 수 있습니다.

학습하면서 접하는 꽤 많은 문제가 굳이 극댓값x극솟값까지 구하지 않아도, 간단하게 인수분해가 되는 유형도 있어요. 그렇지만 오늘은 극댓값x극솟값으로 곱했을 때 더 쉬운 문제들을 풀어볼게요.
예제
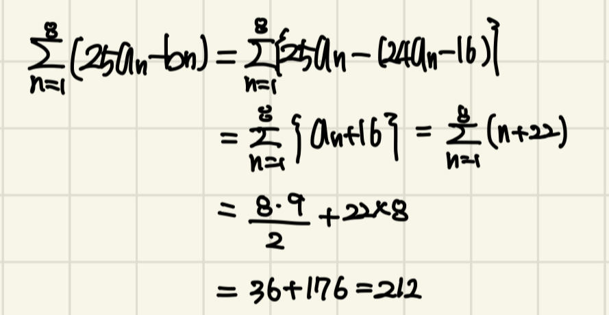
2020년 10월학평 나형 #28

먼저 주어진 함수를 미분해서 개형을 그립니다.




문제





반응형
'고등수학 (2015 개정 교육과정) > 수학2' 카테고리의 다른 글
| 미분계수 식변형 연습문제 (0) | 2024.04.14 |
|---|---|
| 적분 속도 문제 모음 (0) | 2023.12.02 |
| [함수 개형] 위로 볼록, 아래로 볼록 수식으로 나타내기 (0) | 2023.10.01 |
| 삼차함수 접선의 개수 문제 모음 (0) | 2023.08.27 |
| [수학2] 가우스 들어있는 극한 문제 유형별 정리 (0) | 2023.08.20 |