반응형

서술형, 빈칸형으로 자주 출제되는
순열과 조합의 성질 한 번 정리해보고 가겠습니다.
아래 여섯 가지를 증명하실 수 있으면
오늘 포스팅은 그냥 넘어가셔도 됩니다.

아니라면 같이 연습해보시는 게 좋겠죠?
ㅎㅎ
증명에서는 P, C둘 다
팩토리얼로 나타낸 식을 사용하면 됩니다.

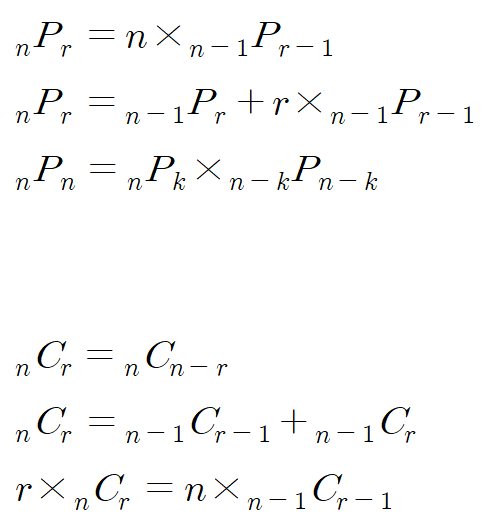
순열의 성질, 공식 증명

써야 할 식의 변형이 잘 이해가 안된다면 옆에 숫자를 한 번 대입해서 적어보시면 이해가 쉬운 편이랍니다.


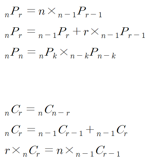
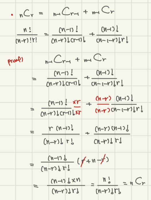
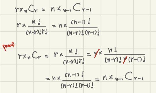
조합의 성질, 공식 증명

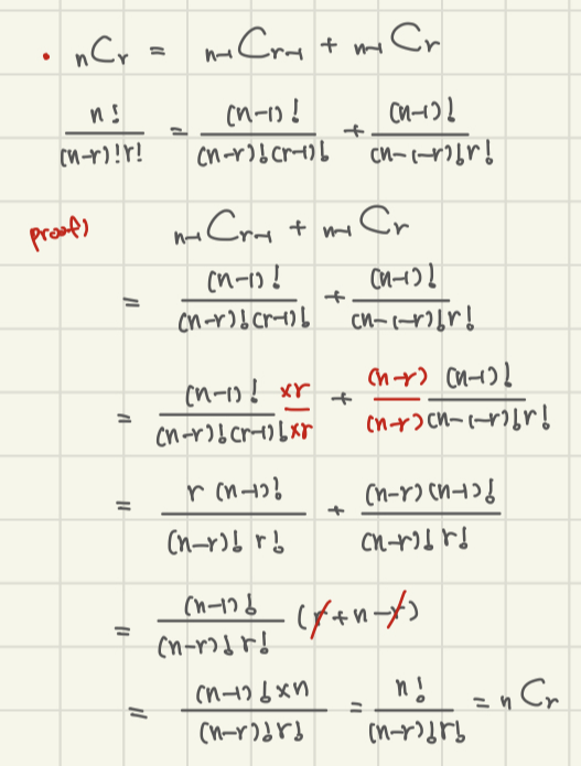
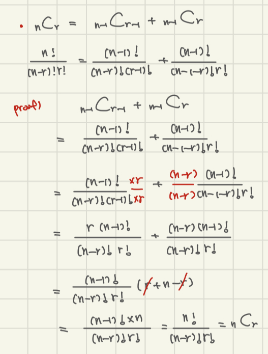
조합의 경우도 순열과 마찬가지로 팩토리얼 형태로 다 바꾸어 준 다음 통분해서 식을 증명하시면 됩니다.


통분할 때 양쪽에 모두 다 곱해줘야 하는 경우도 있으니 주의하시고요.!

위의 성질들은 조합에서 맨 위의 두 개 식을 제외하면 굳이 외워서 써야 하는 식은 아닙니다. 그래서 증명 정도만 할 수 있으면 됩니다. 아니면 빈칸 형태로 나왔을 때 채워넣는 것 정도는 할 수 있어야겠죠?
혹시 추가로 더 궁금한 공식 등이 있으면 댓글로 남겨주시면 추가로 올리도록 하겠습니다.
참, 공식으로 인한 증명 말고 설명으로 인한 증명도 있는데 다음에 또 추가로 올리도록 할게요 :-)
시험이 얼마 남지 않았는데 열공하시기 바랍니다.
반응형
'고등수학 (2015 개정 교육과정) > 고등수학(하)' 카테고리의 다른 글
| [수학 개념] 집합의 정의, 표현방법 (0) | 2023.09.09 |
|---|---|
| 대칭차집합 총정리 - 정의, 성질, 문제풀이 (0) | 2023.09.03 |
| [경우의 수, 확률] 3의 배수 만들기 (3으로 나눈 나머지 이용) (2) | 2022.11.06 |
| 코시 슈바르츠 부등식 항 3개 이상 일 때 (등호 조건 및 증명) (0) | 2022.09.25 |
| 유리함수 그래프 7초만에 그리는 법 (일반형, 역함수 바로 찾기) (1) | 2022.08.26 |