시험 1번에 주로 나오는
개념을 정리하고 가봅시다!

수체계의 포함관계
중1때 유리수까지 배우죠.
중3때는 여기에 무리수를 더하여,
실수체계까지 배웁니다.
고등학교 진학 후에도 계속 나오니,
이 참에 정리해보고 가죠.
실수는 유리수 or 무리수입니다.

실수는 반드시 둘 중 하나에는 해당됩니다.
1. 실수는 유리수 + 무리수.
2. 유리수이면서 무리수인 수는 없고,
유리수도 무리수도 아닌 수 역시 없습니다.
무조건 둘 중 하나에요.
그리고 수의 표현방법으로 따지자면
유한소수 or 무한소수인데,
무한소수 중 순환소수는 유리수고
나머지는 모두 무리수입니다.

즉 무리수 = 순환하지 않는 무한소수죠.

정수나 자연수는 모두
유리수 안에 들어갑니다.
유리수나 무리수의 특성에 대해 묻는 문제.
특히 중2때 유리수를 많이 하기 때문에
유리수의 특징을 많이 물어봅니다.
실전 OX 문제
1. 유한소수는 유리수이다.
2. 무한소수는 무리수이다.
3. 순환소수는 무리수이다.
4. 순환소수는 모두 유리수이다.
5. 순환하지 않는 무한소수는 무리수이다.
6. 근호를 사용하여 나타낸 수는 모두 무리수이다.
7. 무한소수 중에는 유리수인 것도 있다.
8. 유한소수 중에는 무리수인 수도 있다.
9. 유리수이면서 무리수인 수도 있다.
10. 유한소수는 모두 분수로 나타낼 수 있다.
11. 소수에는 유한소수와 순환하는 무한소수만 있다.
12. π는 순환하지 않는 무한소수이다.
13. 정수가 아닌 유리수는 모두 유한소수로 나타낼 수 있다.
14. 무리수는 모두 무한소수로 나타낼 수 있다.
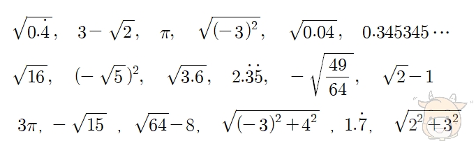
15. 다음 중 무리수를 골라라
(or순환하지 않는 무한 소수를 골라라)

다 풀었으면 정답을 맞춰볼까요?
1. 유한 소수는 유리수이다. o
2. 무한소수는 무리수이다. x
순환소수는 무한소수이지만 유리수입니다.
3. 순환소수는 무리수이다. x
4. 순환소수는 모두 유리수이다. o
5. 순환하지 않는 무한소수는 무리수이다. o
6. 근호를 사용하여 나타낸 수는 모두 무리수이다. x
√4=2입니다.
7. 무한소수 중에는 유리수인 것도 있다. o
8. 유한소수 중에는 무리수인 수도 있다. x
9. 유리수이면서 무리수인 수도 있다. x
10. 유한소수는 모두 분수로 나타낼 수 있다. o
11. 소수에는 유한소수와 순환하는 무한소수만 있다. x
12. π는 순환하지 않는 무한소수이다. o
13. 정수가 아닌 유리수는 모두 유한소수로 나타낼 수 있다. x
14. 무리수는 모두 무한소수로 나타낼 수 있다. o
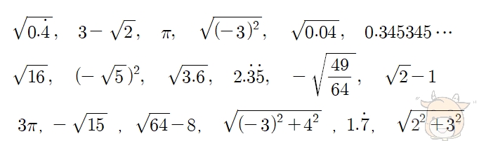
15. 다음 중 무리수를 골라라
(or순환하지 않는 무한 소수를 골라라)

조밀성에 관한 문제
실수는 모두 수직선 위의 한 점에 대응합니다.
유리수만으로/무리수만으로는 실직선을 완전히 채울 수 없습니다.
정수나 자연수와 달리 유리수나 무리수는 어느 구간에서건 무한히 많습니다.
특정한 수에 가장 가까운 유리수나 무리수는 없습니다.
실전 OX 문제
1. 서로 다른 두 무리수 사이에는 무수히 많은 정수가 있다.
2. 서로 다른 두 유리수 사이에는 유리수만 있다.
3. 서로 다른 두 무리수 사이에는 유한개의 정수가 있다.
4. 수직선은 무리수에 대응하는 점들로 완전히 메울 수 있다.
5. 수직선 위의 각 점에 실수를 하나씩 빠짐없이 대응시킬 수 있다.
6. 10과 √15 사이에는 1개의 자연수가 있다.
7. -1과 √6 사이에는 무수히 많은 무리수가 있다.
8. -2와 3 사이에는 무수히 많은 유리수가 있다.
9. 유리수에 대응하는 점으로 수직선을 완전히 메울 수 없다.
10. 무리수 중에서 수직선 위에 나타낼 수 없는 것도 있다.
11. 1에 가장 가까운 무리수는 √2이다.
12. 2와 √5 사이에는 유리수가 없다.
13. 0과 1/2 사이에는 무수히 많은 무리수가 있다.
14. √2와 √7 사이에는 무리수가 5개 있다.
15. 1/3과 1/2 사이에는 무수히 많은 유리수가 있다.
16. -√3과 √10사이에는 5개의 정수가 있다.
17. 1-√2에 대응하는 점은 수직선 위에 나타낼 수 있다.
18. √5와 √7 사이의 무리수는 √6뿐이다.
다 풀었으면 정답을 맞춰볼까요?
1. 서로 다른 두 무리수 사이에는 무수히 많은 정수가 있다. x
2. 서로 다른 두 유리수 사이에는 유리수만 있다. x
3. 서로 다른 두 무리수 사이에는 유한개의 정수가 있다. o
4. 수직선은 무리수에 대응하는 점들로 완전히 메울 수 있다. x
5. 수직선 위의 각 점에 실수를 하나씩 빠짐없이 대응시킬 수 있다. o
6. 10과 √15 사이에는 1개의 자연수가 있다. x
7. -1과 √6 사이에는 무수히 많은 무리수가 있다. o
8. -2와 3 사이에는 무수히 많은 유리수가 있다. o
9. 유리수에 대응하는 점으로 수직선을 완전히 메울 수 없다. o
10. 무리수 중에서 수직선 위에 나타낼 수 없는 것도 있다. x
11. 1에 가장 가까운 무리수는 √2이다. x
12. 2와 √5 사이에는 유리수가 없다. x
13. 0과 1/2 사이에는 무수히 많은 무리수가 있다. o
14. √2와 √7 사이에는 무리수가 5개 있다. x
15. 1/3과 1/2 사이에는 무수히 많은 유리수가 있다. o
16. -√3과 √10사이에는 5개의 정수가 있다. o
17. 1-√2에 대응하는 점은 수직선 위에 나타낼 수 있다. o
18. √5와 √7 사이의 무리수는 √6뿐이다. x
개념 부분이 확실하게 정리가 되었나요?
다음에는 제곱근 부분 개념을 정리해서
갖고 올게요.
얼마 남지 않은 시험까지
화이팅입니다.^^
'중등수학 > 중등 3학년' 카테고리의 다른 글
| [이차방정식 활용] 정오각형과 황금비 (황금삼각형, 사각형) (2) | 2021.07.09 |
|---|---|
| 이차함수 부호에 따른 그래프 개형 총정리 (0) | 2021.06.29 |
| 곱셈공식의 변형 연습용 문제 모음 (0) | 2021.03.04 |
| 삼각비 특수각이 아닐 때 객관식 문제 (0) | 2020.11.20 |
| [통계] 개념 ox 문제. 평균, 분산 헷갈리는 거 다 잡아줄게..! (0) | 2020.11.08 |