반응형
가장 기본적인 이차 식변형

곱셈공식의 변형 문제 모음
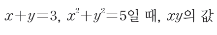
Q1

정답 : (1) 19, (2) 29, (3) 19/5
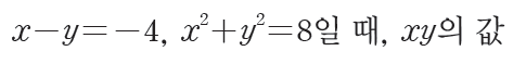
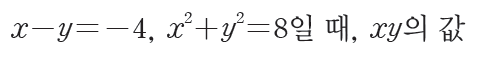
Q2

정답 : 38
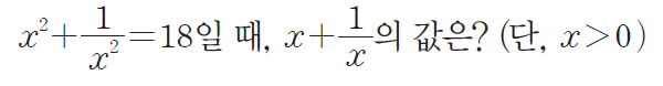
Q3

정답 : 30
Q4

정답 : 40
Q5

정답 : 2
Q6

정답 : 10
Q7

정답 : 7
Q8

정답 : 49
Q9

정답 : -4
Q10

정답 : 44
Q11

정답 : 10/3
Q12

정답 : 28
Q13

정답 : 10
Q14

정답 : (1) 11, (2) 9
곱셈공식 분수꼴

곱셈공식 분수꼴 문제
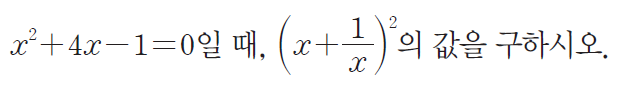
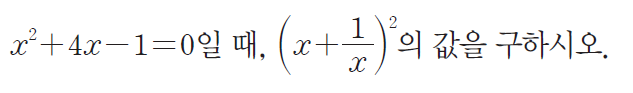
Q1

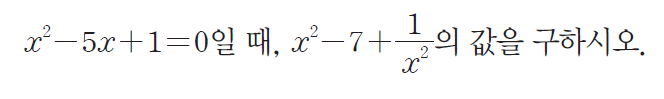
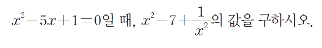
Q2

Q3


Q4

Q5

Q6

Q7

Q8

Q9

곱셈공식 분수꼴 형태 변형

연습문제
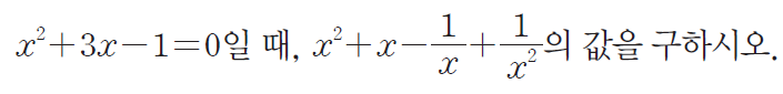
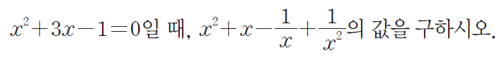
Q1

Q2

Q3

Q4

고1은 삼차까지 나오므로 반드시 미리 숙지하고 가야합니다.
반응형
'중등수학 > 중등 3학년' 카테고리의 다른 글
| 이차함수 부호에 따른 그래프 개형 총정리 (0) | 2021.06.29 |
|---|---|
| 순환소수, 무리수, 유리수 개념 정리 + ox 문제 (0) | 2021.04.22 |
| 삼각비 특수각이 아닐 때 객관식 문제 (0) | 2020.11.20 |
| [통계] 개념 ox 문제. 평균, 분산 헷갈리는 거 다 잡아줄게..! (0) | 2020.11.08 |
| 피타고라스 수 4쌍 + 닮음비로 피타고라스 수 쉽게 구하기 (0) | 2020.11.01 |