절댓값이 포함된 함수의 그래프는
고3 때까지 계속 나오므로,
꼭 그릴 줄 알아야 하죠.
특히나 y=|f(x)|의 그래프와,
y=f(|x|)의 그래프 두 개는
x에서 y로의 함수 그래프이므로,
그릴 줄 알아야 합니다.
오늘은
유리함수를 대상으로
y=f(x) 그래프를 그린 다음,
① y=f(|x|)의 그래프
② y=|f(x)|의 그래프
요 두 개를 모두 그려볼게요.

유리함수의 절댓값 그래프를
다양하게 그려보는 연습이죠 :-)

우선 위의 내용을 숙지하고,
따라오셔야 합니다.
저걸 왜 저렇게 그리는지는
포스팅 분량이 너무 길어지므로,
아래 링크해 둔 절댓값 함수의 그래프를
참고하시면 됩니다. ↓
https://ladyang86.tistory.com/18
[함수] 절댓값이 포함된 함수의 그래프 그리는 방법
오늘 포스팅하는 절댓값이 포함된 함수의 그래프는 정말 중요합니다. 수학(하)의 함수 파트 학습 후부터는 다항함수, 유리함수, 무리함수, 수학1 학습 후에 등장하는 지수함수, 로그함수에도 모
ladyang86.tistory.com
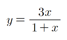
자 지금부터 실전 돌입!
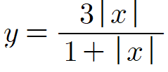
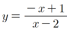
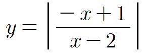
문제1

기본 개형을 먼저 그려봅니다.

① y=f(|x|)의 그래프



x축의 오른쪽 부분만 살려서
y축을 기준으로 접어주시면 됩니다.

② y=|f(x)|의 그래프

x축 윗 부분은 그대로 두고,
아래 부분만 꺾어서 올리시면 됩니다.



유리함수 그래프는,
개형에 따라 절댓값 그래프 모양이
다양하므로 조금만 더 연습해볼게요.
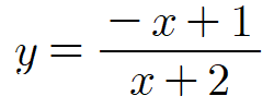
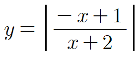
문제2

먼저 기본 그래프를 그려줍니다.

① y=f(|x|)의 그래프




② y=|f(x)|의 그래프




문제3


① y=f(|x|)의 그래프




② y=|f(x)|의 그래프




유리함수 절댓값 그래프 그릴 때
조심해야 할 점은 점근선입니다.

뒤집을 때 꼭
점근선도 같이 뒤집어주셔야 해요.
그래프 눈으로만 보지 말고,
직접 손으로 그린 다음
비교하면서 학습하세요.^^
'고등수학 (2015 개정 교육과정) > 고등수학(하)' 카테고리의 다른 글
| 고1이 풀만한 함수방정식 문제 (연립방정식으로 풀이) (0) | 2021.01.22 |
|---|---|
| 서로 다른 주사위 경우의 수 문제 총정리 (합,차, 그 외 기타) (0) | 2020.12.13 |
| [경우의 수] 시험 꿀팁 교란순열 (완전순열) (0) | 2020.12.05 |
| [경우의 수] 동전문제 지불금액, 지불방법의 수 (2) | 2020.12.04 |
| [경우의 수] 양의 약수의 개수와 총합, 곱까지 총정리 (0) | 2020.11.27 |