서로 다른 주사위 두 개를 던지는 문제는
순서쌍을 세는 것보다,
표로 그려서 풉시다.

주사위 문제는 고3때까지 꾸준히 나옵니다.
그리고 위의 표를 이용해서 푸는 방법은
한결 같이 사용할 수 있죠 :-)
다년간 지도를 해보면,
표를 그리는 게 귀찮기 때문에(?)
많은 학생들이 그냥
순서쌍을 찾으려고 합니다.
그렇지만 순서쌍은
바뀌는 경우를 고려하지 못하거나
중간에 숫자를 빼먹는 경우가 많죠.
(사실 숫자 쓰는 게 더 귀찮아요.)
주사위 문제를 단 한 번이라도
틀린 적이 있다면,
오늘 포스팅 주목!!
앞으로 주사위는
표 그려서 풉시다!

아래는 주사위 문제를
표로 풀면 좋은 이유입니다.
1. 합이 일정함.
합이 일정하므로 찾기 쉽습니다.

같은 색깔은 합이 같은 수들입니다.
표기하다보면 누락하는 걸 방지할 수 있어요.
예제1.
서로 다른 주사위를 던졌을 때,
나오는 눈의 수의 합이 4의 배수인
경우의 수

합이 4,8,12인 경우를 표기하면
주황색이죠
경우의 수는 9개입니다.
예제2.
주사위를 연속하여 두 번 던졌을 때,
나오는 수를 차례로 a,b라 하자.
눈의 수의 합이 6이 되는 경우의 수

하늘색과 같습니다.
경우는 총 5개죠.
2. 차도 일정함.
표의 이점은 사실 차에서 더
잘 나타납니다.
차 역시 같은 색끼리 같거든요.

심지어 대칭인 것도 쉽게 보이죠.
특히나 차를 셀 때 많이 하는 실수가,
숫자가 큰 순서쌍만 세는 것이거든요.
예를 들어 차가 3인 수를 셀 때
보통 (4,1)을 세고
(1,4)는 안 세는 경우가 있어요.
표를 이용하면
반대도 자연스럽게 셀 수 있습니다.
예제3.
서로 다른 주사위를 던졌을 때,
눈의 차가 2가 되는 경우의 수는?

하늘색 부분이므로 총 8개.
3. 기타 (세기 편함)
사실 표를 그린다는 것 자체가,
주사위를 던졌을 때 나오는
표본공간 전체를 다 보여주는 거라
상당히 직관적입니다.
그래서 그냥 세도 돼요.
숫자 세는 것보다
동그라미 치면서 세는 게
더 직관적이고 쉽습니다.
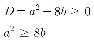
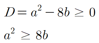
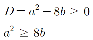
예제4.
주사위를 두 번 던져서 나온 수를
차례로 a,b라 하자. x에 대한 이차함수

의 그래프가 x축과 적어도 한 점에서
만나도록 하는 순서쌍 (a,b)의 개수는?
판별식을 사용하면 아래와 같습니다.

이건 뭐..
그냥 표를 보면서
되는 부분만 체크하시면 됩니다.

색칠한 부분의 10가지가 되겠죠?
귀찮다고 타협하지 마세요.
표 그리는 20초보다,
문제를 안 틀리는 것이
훨씬 더 중요한 거 아시죠?ㅎㅎ
그럼 다음에도 유익한 포스팅
들고 올게요!
'고등수학 (2015 개정 교육과정) > 고등수학(하)' 카테고리의 다른 글
| 집합의 정의 + 집합을 원소로 갖는 집합 문제 모음 (0) | 2021.07.12 |
|---|---|
| 고1이 풀만한 함수방정식 문제 (연립방정식으로 풀이) (0) | 2021.01.22 |
| 유리함수 절댓값 그래프 그리기 (0) | 2020.12.10 |
| [경우의 수] 시험 꿀팁 교란순열 (완전순열) (0) | 2020.12.05 |
| [경우의 수] 동전문제 지불금액, 지불방법의 수 (2) | 2020.12.04 |