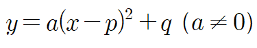
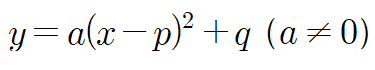
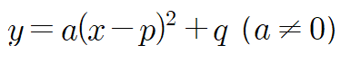
이차함수의 그래프 중 표준형을 살펴봅시다.

표준형의 그래프는 식만 보더라도
대강의 개형을 알 수 있습니다.
a의 부호로 아래로/위로 볼록한지 판단할 수 있고,
꼭짓점의 좌표가 (p, q)이기 때문에
간단하게 개형을 그려볼 수 있죠.
반면 이를 모두 전개하여 나타낸 기본형의 경우에는
a의 부호로 볼록성을 판별하는 것 외에는
아직까지 감이 잘 오지 않습니다.

그래서 오늘은 기본형의 이차함수를
표준형으로 만드는 걸 연습해볼 예정입니다.
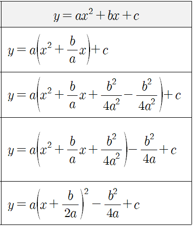
이차함수 표준형 만들기 알고리즘
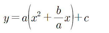
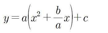
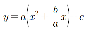
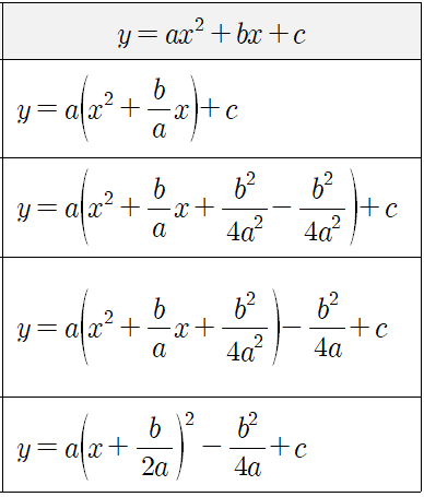
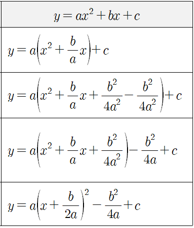
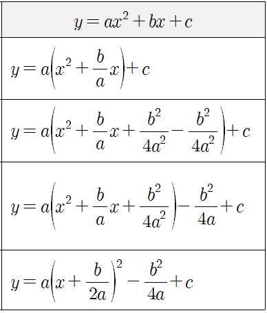
1. 이차항 계수로 이차항과 일차항만 ()로 묶어줍니다.
상수항은 ()밖에 씁니다.

* 이차방정식은 등식의 성질을 이용하여,
양변을 a로 나누어줬던 것 기억하시나요?
함수는 y를 그대로 두기 때문에
양변을 a로 나누지 말고 괄호를 사용하여
앞으로 묶어줍니다.
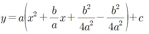
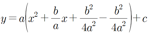
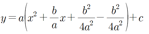
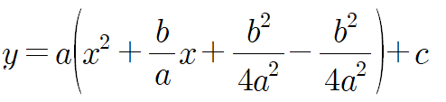
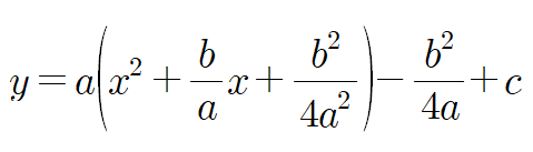
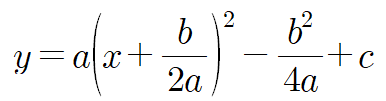
2. ()안의 일차항계수를 2로 나눈 값을 구합니다.
구한값을 제곱하여 괄호 안에 더하고 빼줍니다.

일차항계수가 b/a이므로
2로 나누면 b/2a가 되겠죠?
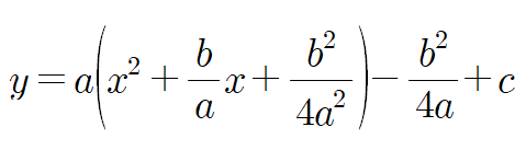
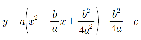
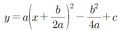
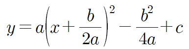
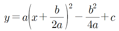
3. ()안을 완전제곱식으로 만들고 남은 값(위에서 빼준 값)을
괄호 밖의 계수와 곱해서 괄호 밖에 써줍니다.

4. 식을 정리합니다.

완전 제곱식과, 괄호밖의 숫자를 계산해주면,
꼭짓점을 바로 구할 수 있는 표준형이 나오네요.
그럼 알고리즘 한 번 정리해볼까요?

지금부터는 다양한 예제로 차근차근 연습해봅시다 :-)
#1. 이차항 계수가 1인 경우에는 그냥 괄호로 두면 됩니다.

#2. 부호가 -인 경우에도 잘 처리해줍니다.

#3. 사실은 이 문제가 가장 일반적인 경우죠. 최고차항 계수로 묶어줍니다.

#4. 분수의 경우에도 마찬가지입니다.
이 경우 거꾸로 괄호를 푸는 과정을 암산해서,
과정이 맞는지 한 번쯤 체크해줍시다.

눈으로 보면 쉬워보이지만,
직접 손으로 풀면 은근 잘 틀립니다.
처음에는 과정을 생략하지 말고,
위 알고리즘에 맞게 4단계 모두 적어서 연습합시다.

이 부분은 매우 중요하고
고등학교 때에도 계속 나오니
지금 열심히 학습합시다. :-)
'중등수학 > 중등 3학년' 카테고리의 다른 글
| [통계] 개념 ox 문제. 평균, 분산 헷갈리는 거 다 잡아줄게..! (0) | 2020.11.08 |
|---|---|
| 피타고라스 수 4쌍 + 닮음비로 피타고라스 수 쉽게 구하기 (0) | 2020.11.01 |
| [이차방정식] 근의 공식 유도과정 (시험에 99% 출제되므로 필수 암기) (0) | 2020.05.23 |
| [이차방정식] 정의, 근, 풀이방법 (0) | 2020.02.07 |
| [중등기하] 원과 직선 & 원주각 & 원과 비례 명제 모음 (0) | 2020.02.03 |