문제에서 ‘이차방정식을 풀어라’-라는 말은
주어진 등식을 만족하게 하는 x의 값을
모두 구하라는 뜻입니다.
근이 두 개인데 하나만 구하면
반만 맞은 것이 아니라 틀린 것이에요.
그리고 답을 쓸 때는 반드시 ,(콤마)로
표기를 해주고 x도 두 번씩 쓰셔야 합니다.
예를 들자면,
(x-3)(x-1)=0의 해를 쓸 때
x=1,3 (안됨)
x=1 또는 3 (안됨)
x=1 or x=3 (됨)
x=1 또는 x=3 (됨)
이런식으로 써주셔야 합니다.
이제 이차방정식을 푸는 방법을 알아봅시다.
1. 인수분해 하여 풉니다.
2. 인수분해가 안되면?
아래와 같이 완전제곱식 형태로 변형하여 풉니다.
이것을 일반화 한 것이 ‘근의 공식’이죠.
즉, 인수분해가 안되면,
근의 공식을 쓰시면 됩니다.
* 이차방정식 근의 공식 유도과정
근의 공식 유도과정은
수행평가 or 내신에 99% 출제되므로,
반드시 암기해줘야 합니다.

그럼 지금부터 근의 공식을 유도해봅시다.
1) 이차항 계수로 양변을 나눠주고
상수항 부분은 우변으로 넘겨줍니다.

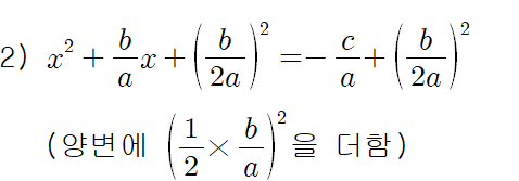
2) 좌변을 완전제곱식으로 만들어야 하므로,
양변에 (일차항계수/2)를 제곱한 값을 더합니다.

이 과정이 처음에는 많이 헷갈리죠.
이럴 땐 완전제곱식의 결과가 뭐가 나올지를 고민해보세요.
일차항 계수에 1/2을 곱하여 바로 아랫줄에
완전제곱식을 만들어 써주면,
어떤 수를 더해야 할지 잘 보입니다.

3) 완전제곱식 형태로 정리합니다.

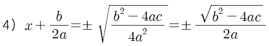
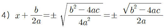
4) 제곱근의 정의를 이용하여 제곱을 풀어줍니다.
(이 때 반드시 부호는 +- 둘 다 붙어야 합니다.)

5) 좌변에 x만 남도록 식을 정리합니다.

이 과정의 결론으로 나오는 식이
이차방정식 근의 공식입니다.
한 번 전체적으로 다시 정리해볼까요?


이 때 만약 b가 짝수인 경우에는,
근의 공식이 조금 더 간단해집니다.
b=2b'이라고 두고 근의 공식을 써보면,

이걸 이제 좀 더 간단하게 정리해봅시다.


근호 안에 있던 4가 밖으로 나오면서
전체식이 다 2로 약분이 됩니다.
객관식 문제를 풀 때에는 해만 구하면 되기 때문에,
근의 공식을 외워서 풀 때는,
일차항 계수가 짝수인 경우(짝수 근의 공식)까지
두 개를 외워서 바로 풀 수 있도록 훈련해야 합니다.


근의 공식 하나만 외워도 되냐구요?
당연히 답은 나옵니다.
다만 계산시 숫자가 커져서 오래 걸리고
약분까지 해야되기 때문에 시간 낭비가 있죠.
게다가 고1, 고2, 고3때까지 계속 나오는데,
나중에는 식이 엄청 복잡해지기 때문에
지금 공식 하나 더 외우기 싫어서 핑계대지말고
타협하지 말고 지금 외우세요.^^
근의 공식을 짝수근의 공식까지
두 개를 외워서 바로 풀 수 있도록
훈련하세요!
'중등수학 > 중등 3학년' 카테고리의 다른 글
| [통계] 개념 ox 문제. 평균, 분산 헷갈리는 거 다 잡아줄게..! (0) | 2020.11.08 |
|---|---|
| 피타고라스 수 4쌍 + 닮음비로 피타고라스 수 쉽게 구하기 (0) | 2020.11.01 |
| [이차함수 그래프] 기본형을 표준형으로 바꾸기 (꼭짓점 찾기) (0) | 2020.05.20 |
| [이차방정식] 정의, 근, 풀이방법 (0) | 2020.02.07 |
| [중등기하] 원과 직선 & 원주각 & 원과 비례 명제 모음 (0) | 2020.02.03 |