함수의 극한 진위 판정은
거의 대부분의 학생들이 질문하는 영역입니다.
이전에도 한 번 다룬적이 있는데,
오늘은 이 중 함수의 극한의 수렴/발산에 관한
진위판정 문제를 모아서 쭉 풀어볼까 합니다.

이전 포스팅은 아래를 보시면 됩니다.
https://ladyang86.tistory.com/40
[함수의 수렴과 연속] 수렴, 발산과 연속, 불연속 진위판정 쉽게 하는 방법
오늘은 함수의 수렴과 연속의 성질들을 쉽게 외우는 방법에 대해 알아보겠습니다. 우리가 고2 내신을 준비하다보면, 진위 판정을 한 번쯤은 해보게 됩니다. 이게 은근 어렵죠. 나중에 좀 더 쓸텐
ladyang86.tistory.com
아래는 모두 수학2에서 다루는 함수를 기준으로
판단하시면 됩니다.
다항함수, 분수함수 - 우선은 요 정도랄까요?
삼각함수나 지수/로그함수를
제외하고 푸시면 됩니다.
해당 내용을 모두 수학2 과정에서만
검토한 거라 그렇습니다.
반례 몇 가지는 외워두시는 편이 좋죠.
그럼 문제를 쭉 풀어봅시다.
문제1

거짓
x=a에서 f(x)의 극한이 0이 아니라는
가정이 있어야 성립
반례) f(x) = x² , g(x)= 1/x, a=0인 경우
f(x)g(x)=x라 x=0에서 수렴하지만
g(x)는 x=0에서 수렴하지 않는다.
문제2

거짓
뒤에 나누는 극한이 0이 아니라는
가정이 있어야 성립함.
즉 g(x)뿐만 아니라
f(x)도 x=a에서의 극한이 0이 아니어야 함
반례) f(x) = x² , g(x)= 1/x, a=0인 경우
f(x)/g(x)=x³이라 x=0에서 수렴하지만
g(x)는 x=0에서 수렴하지 않는다.
문제3

참
수렴하는 함수끼리는 곱해도 수렴함
문제4

거짓
g(x)도 수렴한다는 조건이 있어야 성립함.
반례) f(x) = 1/x , g(x)= -1/x, a=0인 경우
둘이 더하면 0이라 x라 0에서 수렴하지만
f(x)는 x=0에서 수렴하지 않는다.
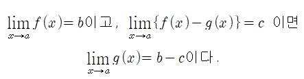
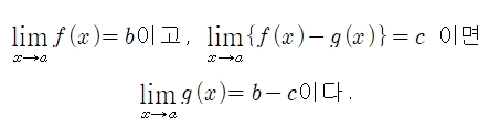
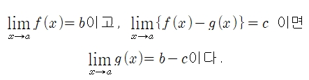
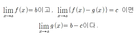
문제5

거짓
f와 g가 둘다 각각 수렴한다는 조건이 없으면

극한을 이렇게 떼서 쓸 수 없다.
둘 다 발산하는데 빼서 수렴하는 함수를
얼마든지 만들 수 있기 때문.
반례) f(x) = 1/x + x , g(x)= 1/x, a=0인 경우
둘이 빼면 x라 0에서 수렴하지만
각각은 수렴하지 않는다.
문제6

참
수렴하는 함수끼리 더하고 빼도 수렴한다.
둘을 더해서 2로 나누면 f(x)가 되므로 성립.
문제7

거짓
발산하는 함수끼리 더하면
발산할 수도 있고 수렴할 수도 있다.
반례) f(x) = 1/x + x , g(x)= -1/x, a=0인 경우
각각은 극한이 존재하지 않지만,
둘이 더하면 x라 0에서 수렴한다.
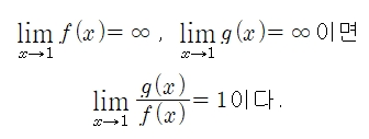
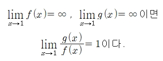
문제8

참
수렴하는 것끼리 나눌 때 0만 아니면
극한 역시 존재한다.
문제9

거짓
극한값에 등호가 들어갈 수 있다.

반례) f(x) = x², g(x) = x²+x, a=0이면
모든 양수 x에 대하여 항상 f(x)<g(x)이지만
둘 다 0에서의 우극한은 0이다.
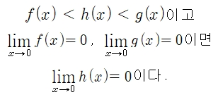
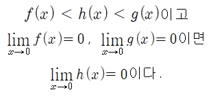
문제10

참
x+2=t로 치환하면 같은 식이 나온다.
문제11

거짓
전자는 f(x)의 우극한만 알 수 있음.
좌극한에 대한 정보는 없으므로 모름.
문제12

참
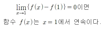
문제13

참
문제14

거짓
문제15

문제 3과 동일함
근데 g가 0이어도 f가 0이어서 극한 존재할 수 있으므로,
전제조건이 없다해도 참임.
문제16

참
문제17

참
문제18

참
극한값이 0인걸 이용해서 증명하면 됩니다.
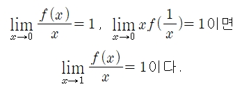
문제19

거짓
x로 묶어보면 f(x)/x는
수렴 or 발산할 수도 있습니다.
문제20

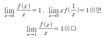
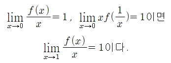
참
t=1/x로 치환해서 정리하면
f(x)=x가 나오므로 참
문제21

참
f(x)=x+k이므로 참
문제22

거짓
0x무한대 꼴이므로
0, 상수, 발산 모두 가능
문제23

참
양변을 x로 나누고 극한을 취하면
조임정리에 의해 0으로 수렴
문제24

참
둘 다 수렴하므로 유도 가능
문제25

거짓
문제26

거짓
문제27

거짓
문제28

참
문제29

거짓
문제30

거짓
문제31

참
문제32

참
문제33

참
문제34

참
문제35

참
문제36

거짓
36문제가 상당히 많죠?
반례가 더 필요하거나,
추가 해설이 필요한 경우
수정 추가로 하겠습니다.^^
그럼 열공하시고,
다음에는 함수의 연속에 관한 진위판정 문제
들고 찾아올게요!
'고등수학 (2015 개정 교육과정) > 수학2' 카테고리의 다른 글
| 합성함수의 미분법 (다항함수의 거듭제곱) (0) | 2021.09.23 |
|---|---|
| 사차함수 중근의 성질 - 2011년 7월 나형 20번 해설 (0) | 2021.09.11 |
| 미분계수 공식 정리 (h 등장하는 꼴일 때) (0) | 2021.07.24 |
| 삼차함수 접선의 개수 (2) | 2021.07.18 |
| [함수의 연속] 연속 x 불연속 문제 (0) | 2021.04.22 |