관계식이 주어진 경우의 미분, 적분
오늘은 주어진 식을 변형하여 도함수를 구하는 걸 해 볼 겁니다. f(x+y)=f(x)+f(y)+뭐시기~형태로 정의되는 함수를 변형시켜서 도함수를 구해보는거죠!
사실은 일반화도 가능하고, 로피탈을 이용하면 원하는 값만 빠르게 구할 수도 있지만 우선 정석대로 푸는 법을 익히는 것이 가장 기본인지라, 우선 오늘은 전부 정석대로 유도해서 풀어보도록 할 겁니다.

우선은 도함수의 정의를 알고 있어야겠죠?

주어진 함수에서 f(x+h)-f(x)의 식을 구할 수 있으므로 이걸 집어넣고 대입하여 정리하면 됩니다. 보통 문자는 x와 y로 주어지는데 편의상 보기 편하게 y 대신 h를 대입해서 정리하면 됩니다.
이렇게만 들으니 잘 이해가 안가죠? 문제를 직접 풀어보면서 익히도록 해요!
문제1
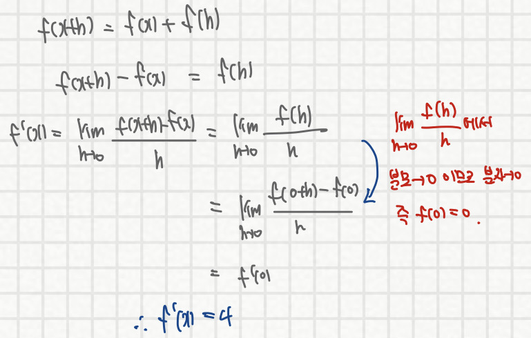
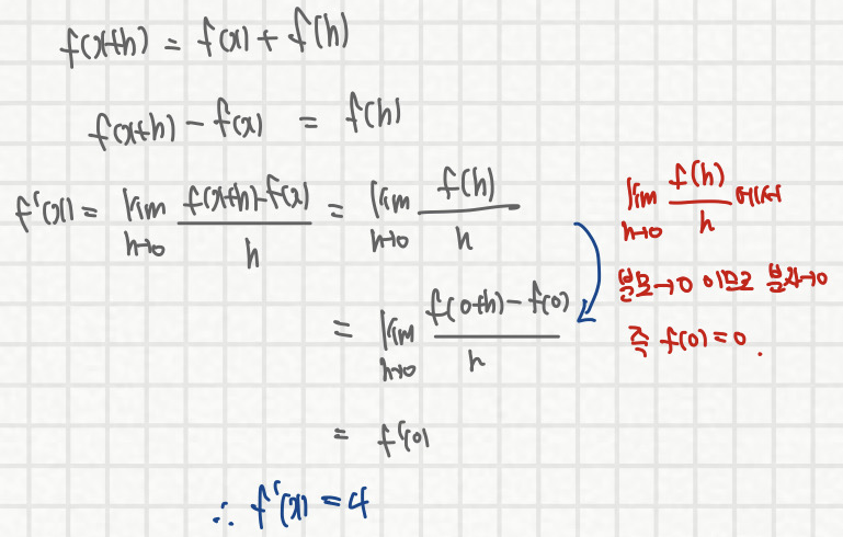
미분가능한 함수 f(x)가
모든실수 x,y에 대하여
f(x+y)=f(x)+f(y)를 만족시키고,
f'(0)=4일 때, f'(x)를 구하여라.

문제2
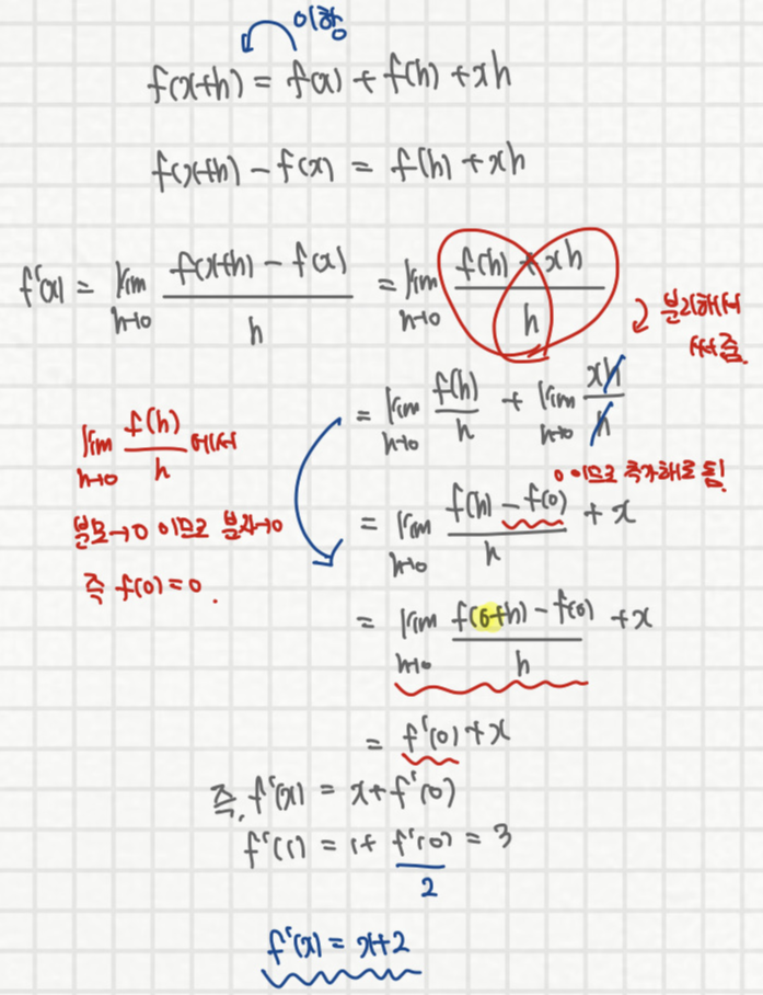
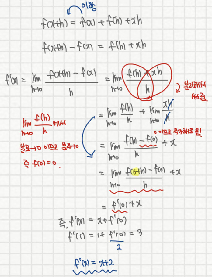
미분가능한 함수 f(x)가
모든실수 x,y에 대하여
f(x+y)=f(x)+f(y)+xy를 만족시키고,
f'(1)=3일 때, f'(x)를 구하여라.

문제3
미분가능한 함수 f(x)가
모든실수 x,y에 대하여
f(x+y)=f(x)+f(y)+1를 만족시키고,
f'(0)=1일 때, f'(x)를 구하여라.

적분에서도 그대로 활용됩니다.
위와 동일하게, 도함수를 구한다음,
원시함수를 구하면 되죠.!
문제4.
미분가능한 함수 f(x)가
모든실수 x,y에 대하여
f(x+y)=f(x)+f(y)-2xh+1을 만족시키고,
f'(1)=1일 때, f(x)를 구하여라.

사실 이 유형은 일반화가 가능합니다. f(x+h)-f(x)=f(h)+p(x)라 할 때, p(x)중 h로 나누어지는 식이 그대로 도함수의 형태가 되고, 나머진 f'(0)으로 나옵니다. 미분계수만 구하는 경우에는 로피탈을 써도 되구요.! 이건 추후 포스팅 할게요.!
항상 그렇지만 정석대로 풀 줄 알고, 그 다음 여러 스킬을 익히는 게 기본이니까요.
그럼 다음에도 유용한 포스팅으로 돌아올게요!
'고등수학 (2015 개정 교육과정) > 수학2' 카테고리의 다른 글
| 대칭을 이용한 고난도 문제 풀이 (x=a, y=b 대칭) (0) | 2022.04.03 |
|---|---|
| 삼차함수 위의 한 점에서 그은 접선이 곡선과 다시 만나는 점 (0) | 2022.02.25 |
| [필수암기] 정적분 넓이 공식 (이차함수, 삼차함수 접선) (0) | 2021.11.25 |
| 함수의 연속 진위 판정 (합성함수 포함) (1) | 2021.10.17 |
| 합성함수의 미분법 (다항함수의 거듭제곱) (0) | 2021.09.23 |