오늘은 함수의 연속 진위 판정입니다.

이전에 함수의 극한 진위 판정을 했었죠?
기억이 안 나신다면,
아래 링크를 보고 복습해오세요 :-)
https://ladyang86.tistory.com/112
함수의 극한 진위판정(참/거짓) 문제
함수의 극한 진위 판정은 거의 대부분의 학생들이 질문하는 영역입니다. 이전에도 한 번 다룬적이 있는데, 오늘은 이 중 함수의 극한의 수렴/발산에 관한 진위판정 문제를 모아서 쭉 풀어볼까
ladyang86.tistory.com
오늘도 역시나 마찬가지로,
수학2의 범위에서만 검토한 명제들이므로,
다항함수, 분수함수 대상이라고 보셔야 해요.
삼각함수나 지수/로그함수는
제외하고 푸시면 됩니다.
그렇죠, 네, 문과용 수학입니다만..
그리고 시험기간이 닥쳐서 당장 필요한
학생들이 분명 있을 듯 하여,
우선 해설을 냅두고,
문제와 정답부터 올립니다!
그럼 문제를 쭉 풀어봅시다.
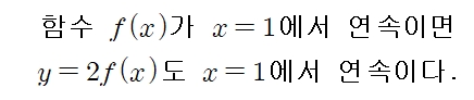
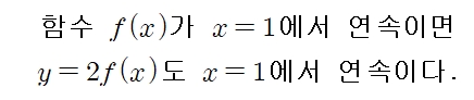
문제1

참
연속인 함수끼리 더하고 빼고
상수배해도 연속.
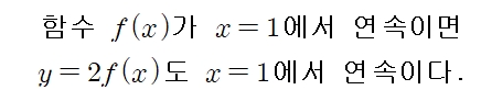
문제2

참
연속인 함수끼리 곱해도 연속이므로 참
문제3

거짓
f(x)=0이면 성립하지 않음.
문제4

참
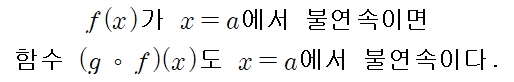
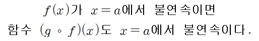
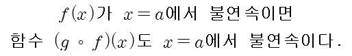
문제5

거짓
g(x)가 x=a에서는 연속이어도
g(f(a))에서는 불연속일 수 있다.
문제6

참
문제7

참
문제8

거짓
f(x)=0이면 안됨.
문제9

참
문제10

거짓
f(x)가 x=a에서는 연속이어도
x=g(a)에서는 불연속일 수 있다.
문제11

거짓
f(x)가 x=f(0)에서는 연속이어도
x=0에서는 불연속일 수 있다.
문제12

거짓
문제13

거짓
문제14

참
문제15

거짓
문제16

거짓
문제17

참
문제18

거짓
문제19

거짓
문제20

거짓
문제21

참
문제22

거짓
문제23

참
문제24

거짓
문제25

참
문제26

참
문제27

참
문제28

참
문제29

거짓
문제30

참
문제31

참
문제32

거짓
문제33

거짓
문제34

2,3

문제35

참
문제36

거짓
문제37

참
해설은 차차 업로드 할게요!
혹시 해설이 바로 궁금한 문제가 있다면,
댓글 달아주세요.^^
'고등수학 (2015 개정 교육과정) > 수학2' 카테고리의 다른 글
| f(x+y)=f(x)+f(y)+p(x) 꼴 정리 (관계식이 주어진 경우의 미분,적분) (2) | 2022.02.12 |
|---|---|
| [필수암기] 정적분 넓이 공식 (이차함수, 삼차함수 접선) (0) | 2021.11.25 |
| 합성함수의 미분법 (다항함수의 거듭제곱) (0) | 2021.09.23 |
| 사차함수 중근의 성질 - 2011년 7월 나형 20번 해설 (0) | 2021.09.11 |
| 함수의 극한 진위판정(참/거짓) 문제 (6) | 2021.08.21 |