
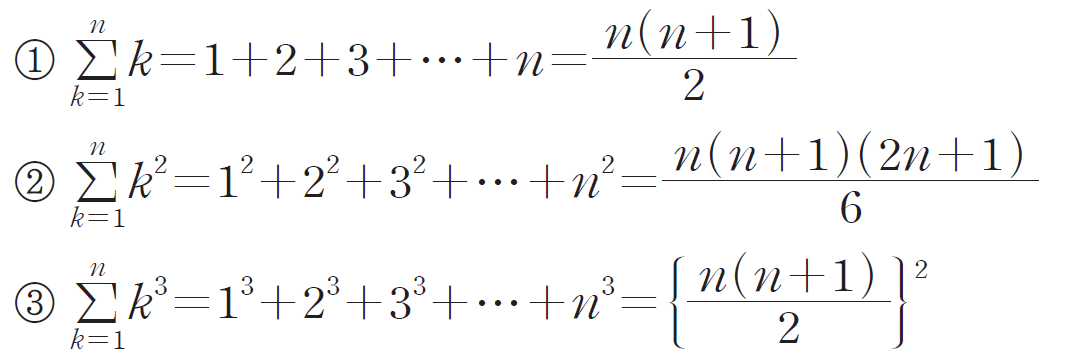
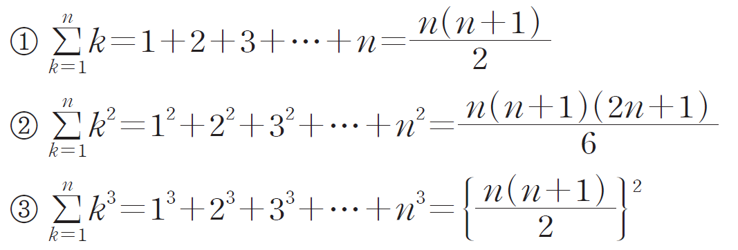
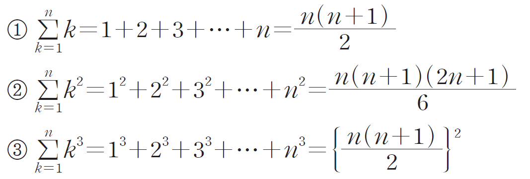
수학1 수열의 합 기본 공식 (자연수의 거듭제곱의 합)
자연수의 거듭제곱의 합은 우리가 암기해서 쓰는 기본 공식이죠. 보통 아래 3개 정도는 다 외워서 씁니다.

①은 등차수열의 합으로 유도해서 풉니다. 나머지 둘은 어떻게 증명할까요?
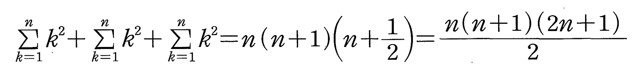
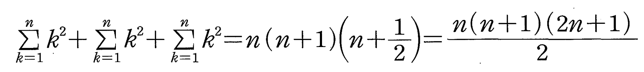
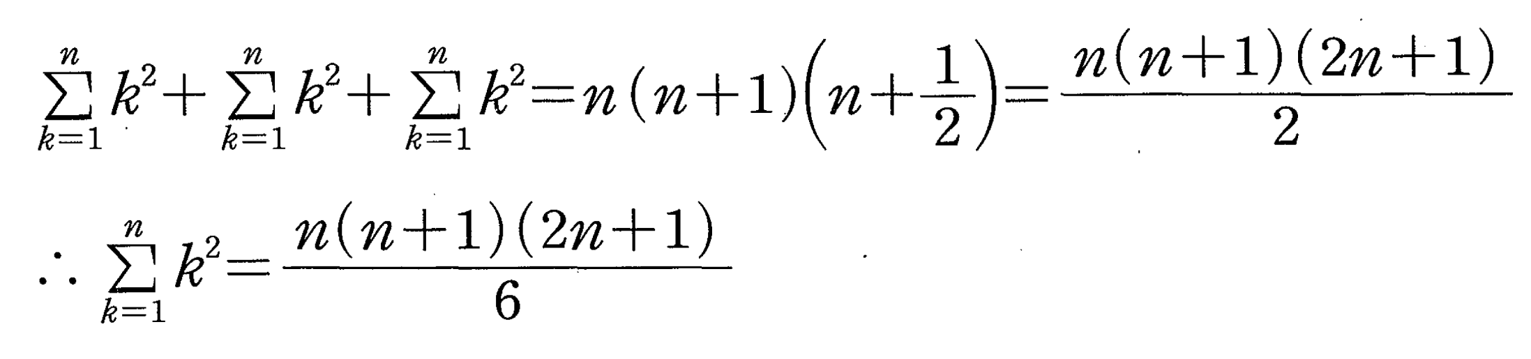
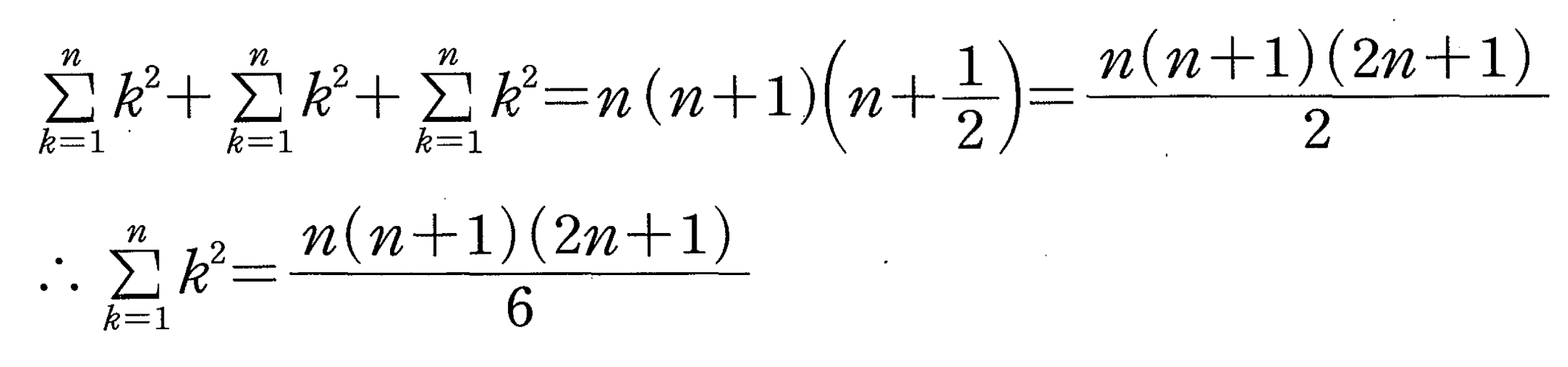
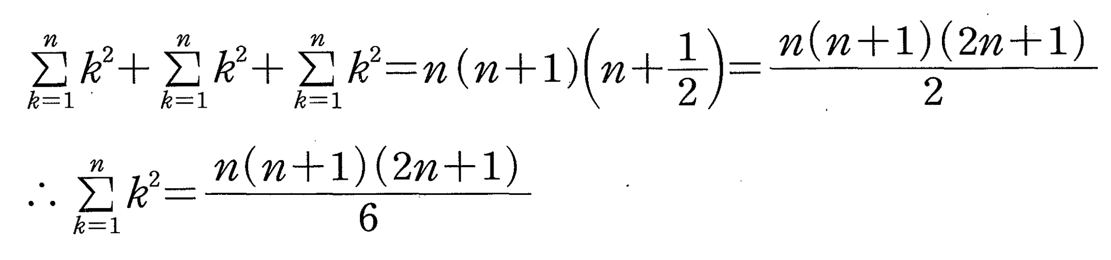
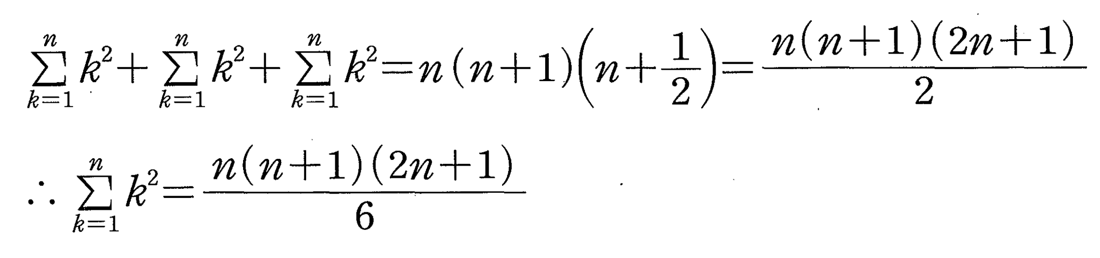
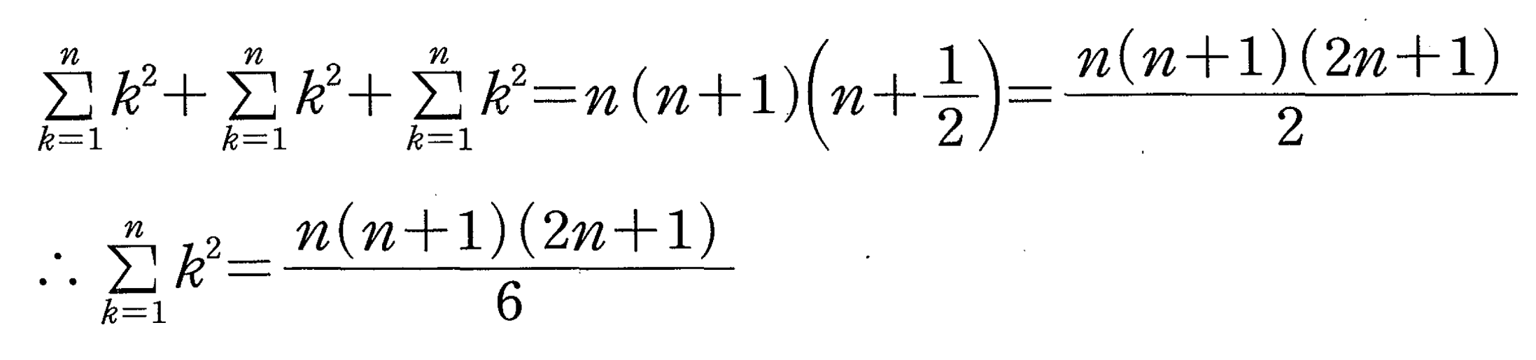
보통 교과서에서는 아래와 같이 항등식을 이용하여 유도합니다.

납득은 가지만 별로 직관적으로 와닿지는 않죠.
그래서 다른 방법 두 가지 정도를 추가로 더 이용하여 공식이 성립함을 이해해볼까 합니다.
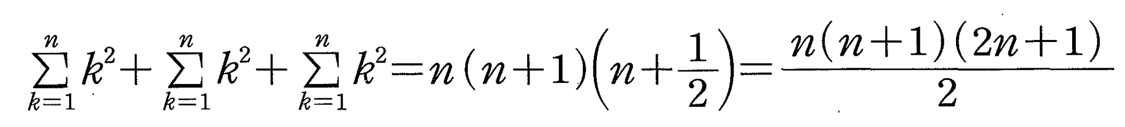
나무 블럭을 이용한 수열의 합 이해

나무 블럭 세 덩이를 쌓아 올려서 직육면체를 만들어 줍니다.

밑면은 n(n+1)이 되고 위로 튀어나온 나무 블럭은 반으로 갈라 반대쪽을 덮어주면 됩니다.

세 덩이 합쳐서 부피가 n(n+1)(n+1/2)이 되었으니 3으로 나누어서 정리해주면 되죠.!

다음은 세제곱 공식입니다.

입체를 분해해서 정사각형을 만들어 줄거에요.

한 변의 길이가 (1+2+3+...+n)인 정사각형이 만들어 지는군요!
이 모양 역시 4개를 붙여서
아래와 같은 큰 정사각형으로
해석도 가능합니다.

사실 여기까지는 다른데서도 흔히 볼 수 있는 증명이죠. 그래서 이번엔 조합을 이용하여 조금 독특하게 증명해볼까합니다.
조합을 이용한 증명

1부터 n+1까지의 수 중, 3개를 뽑아서 a,b,c로 둡니다. 여기서 a와 b의 최댓값보다 c가 더 큰 순서쌍 (a,b,c)의 개수를 세어봅시다.
c는 최댓값이니 c를 기준으로 두면, a,b는 둘 다 c보다 작은 값을 가질 수 있습니다.
c=1일 때는 존재하지 않습니다.
c=2일 때는 a≤1, b≤1이므로 가능한 (a,b)의 가짓수는 1x1개입니다.
c=3일 때는 a≤2, b≤2이므로 가능한 (a,b)의 가짓수는 2x2개입니다.
c=4일 때는 a≤3, b≤3이므로 가능한 (a,b)의 가짓수는 3x3개입니다.
.
.
.
c=n+1일 때는 a≤n, b≤n이므로 가능한 (a,b)의 가짓수는 nxn개입니다.
주어진 경우를 모두 더하면 1² + 2² + 3² + ... + n²개입니다.

이번에는 이걸 조합의 관점에서 살펴볼게요.
① 숫자 3개 사용
a,b,c가 모두 다른 숫자인 경우
: 전체 n+1개 중 숫자 3개 뽑아서 가장 큰 수는 c, 나머지 두 수는 a,b 정함.
② 숫자 2개 사용
a=b <c 인 경우
: 전체 n+1개 중 숫자 2개 뽑으면 됨.
구하는 전체 경우의 수는 ①+②이므로 이걸 조합으로 쓴 다음 식을 정리해봅시다.


이 공식도 동일하게 보여줄거에요!
1부터 n+1까지의 수 중, 4개를 뽑아서 a,b,c,d로 둡니다. 여기서 a, b, c의 최댓값보다 d가 더 큰 순서쌍 (a,b,c,d)의 개수를 세어봅시다.
d는 최댓값이니 d를 기준으로 두면, a,b,c는 셋 다 d보다 작은 값을 가질 수 있습니다.
d=1일 때는 존재하지 않습니다.
d=2일 때는 a≤1, b≤1, c≤1이므로 가능한 (a,b,c)의 가짓수는 1x1x1개입니다.
d=3일 때는 a≤2, b≤2, c≤2이므로 가능한 (a,b,c)의 가짓수는 2x2x2개입니다.
d=4일 때는 a≤3, b≤3, c≤3이므로 가능한 (a,b,c)의 가짓수는 3x3x3개입니다.
.
.
.
d=n+1일 때는 a≤n, b≤n, c≤n이므로 가능한 (a,b,c)의 가짓수는 nxnxn개입니다.
주어진 경우를 모두 더하면 1³ + 2³ + 3³ + ... + n³개입니다.

이번에는 이걸 조합의 관점에서 살펴볼게요.
① 숫자 4개 사용
a,b,c,d가 모두 다른 숫자인 경우
: 전체 n+1개 중 숫자 4개 뽑아서 가장 큰 수는 d, 나머지 세 수는 a,b,c 정함.
② 숫자 3개 사용
a,b,c 중 같은 숫자가 2개, d는 최댓값인 경우
: 전체 n+1개 중 숫자 3개 뽑아서 가장 큰 수는 d,
나머지 세 수 중 두 문자는 같은 숫자를 사용해야 하므로, 어떤 문자를 한 번만 쓸지 정하고,
숫자를 분배함.
③ 숫자 2개 사용
a=b=c<d인 경우
: 전체 n+1개 중 숫자 2개 뽑으면 됨.
구하는 전체 경우의 수는 ①+②+③이므로 이걸 조합으로 쓴 다음 식을 정리해봅시다.

분류가 이해 되시나요?
그럼 이제 본격적으로 식을 정리해봅시다.

어떤가요? 수열의 합을 조합으로도 증명할 수 있다는 거 재밌지 않나요? :-)
요즘은 고1수학에서도 조합을 배우니, 수학1을 배울 때 바로 이해할 수 있을 거에요.
그럼 다음에도 유익한 포스팅으로 돌아올게요!
'수학 for 학생 > 수학 주제연구 & 수학사' 카테고리의 다른 글
| 표본표준편차 - 표본분산을 n-1로 나누는 이유 (0) | 2023.06.04 |
|---|---|
| [수학2 주제 탐구 추천] 정반합을 통한 접선의 개념 살펴보기 (2) | 2022.10.02 |
| 수학계의 베토벤, 레온하르트 오일러 : 논문을 가장 많이 쓴 수학자 (0) | 2020.08.26 |
| 미적분학을 배우는 이유 (feat. 미분, 적분의 유용성) (0) | 2020.04.26 |
| [수학사] 적분이 먼저 발견되었는데 미분부터 배우는 이유는? (0) | 2020.04.23 |