오늘은 표본분산을 구할 때 왜 n이 아닌 n-1로 나누는지에 관한 포스팅입니다.
참고로 이 부분은 교육과정에는 없는 내용입니다. 그래서 몰라도 상관없는 내용이죠.
다만, 상위권 학생들을 지도할 때, 질문을 꼭 받는 편이어서 참고하라고 쓰는 포스팅입니다. 심화 내용이니 주제탐구 보고서 같은 걸로 써도 좋을 것 같군요.

추정에서 중요한 모집단과 표본평균에 관한 내용들은 아래 포스팅 참조하시고요.
https://ladyang86.tistory.com/125
표본평균 개념 + 직접 구하는 법
오늘은 표본평균에 관한 개념과 확률 직접 구하는 법을 좀 다뤄볼까 합니다. 왜냐면 이 부분을 가르치다보면 다들 이해는 완벽하게 못한 채 공식만 기계적으로 외워서 푸는 것 같은 느낌이 들기
ladyang86.tistory.com
오늘은 표본평균의 분산이 아닌 표본분산에 관한 내용입니다.
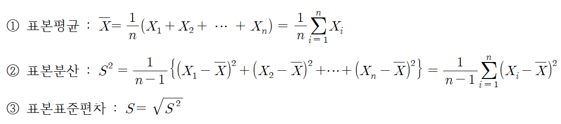
표본평균, 표본분산, 표본표준편차의 정의
모집단에서 임의추출한 크기가 n인 표본을

이라고 할 때,
이 n개의 평균, 분산, 표준편차를 각각
표본평균, 표본분산, 표본표준편차라고 합니다.

이 때 표본분산을 살펴 보시면,
편차의 제곱의 합을 n이 아닌 n-1로 나누어서 구합니다.
모분산의 경우에는 편차의 제곱의 합을 자료의 개수로 나누어서 구하는데 표본분산은 표본의 크기인 n보다 1이 작은 값으로 나누어서 구하죠.

우리가 표본표준편차를 언제 쓰는지 생각해봅시다.
모평균 m을 추정할 때 쓰죠.
그런데 신뢰구간의 공식을 보면 이를 추정하기 위해서 모표준편차 σ가 필요합니다.
아니... 지금 모평균 m도 몰라서 표본 뽑아서 추정하고 있는데...
모표준편차 σ를 모르겠죠..?
그래서 이 때 모표준편차 σ를 표본표준편차 S로 대신해서 구합니다.
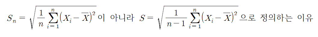
우리가 지금부터 살펴볼 건,
모표준편차 σ를 대신해서 쓰기에,
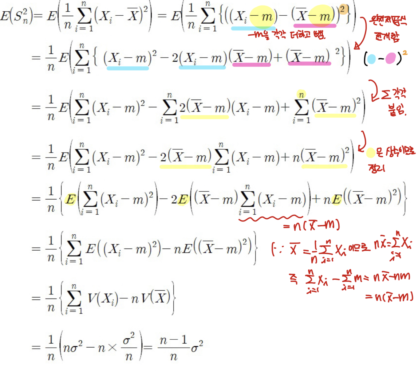
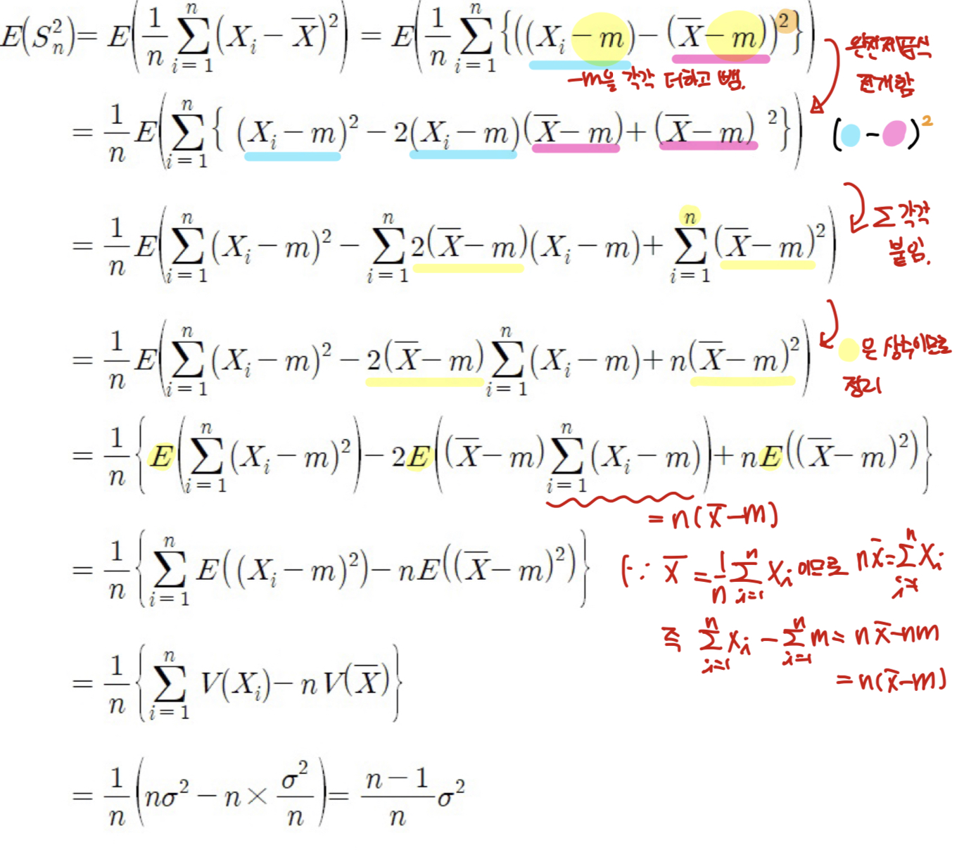
표본을 다 더해서 나눈 Sn이 적당한지 한 번 살펴볼거에요.

와.. 기네요..
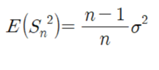
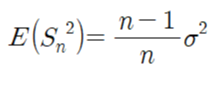
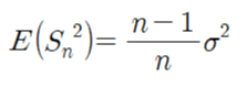
아무튼 결론은 아래와 같습니다.

모분산과 같게 나오지 않는군요. 오히려 작아지는 경향이 있네요.
이걸 모분산으로 보정하기 위해 n/n-1을 곱하면,


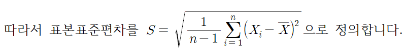
정리하자면,
표본표준편차를 구하는 이유는 모표준편차 대신 쓰기 위함인데,
n으로 나눈 Sn의 값은 실제 모표준편차와 차이가 있기 때문에,
이를 보정하여 n-1로 나눈 값을 사용한다는 것입니다 :-)
수식으로 정리하는 것이 힘들긴 해도, 왜 그렇게 하는지 확실히 알 수 있으니 좋네요.
통계는 정의를 명확하게 아는 것이 중요하니, 공부할 때 꼼꼼하게 하시길 추천드리며,
원래는 여기에 정말 그러한지 데이터로 검증까지 해보려고 했는데,
분량 조절 실패로 다음에 이어서 싣겠습니다.
빠이~!
'수학 for 학생 > 수학 주제연구 & 수학사' 카테고리의 다른 글
| 수학1 수열의 합 공식 - 도형, 조합으로 증명 (0) | 2022.10.23 |
|---|---|
| [수학2 주제 탐구 추천] 정반합을 통한 접선의 개념 살펴보기 (2) | 2022.10.02 |
| 수학계의 베토벤, 레온하르트 오일러 : 논문을 가장 많이 쓴 수학자 (0) | 2020.08.26 |
| 미적분학을 배우는 이유 (feat. 미분, 적분의 유용성) (0) | 2020.04.26 |
| [수학사] 적분이 먼저 발견되었는데 미분부터 배우는 이유는? (0) | 2020.04.23 |