반응형
오늘은 함수의 극한 중
초반 학습이 가장 어려운
합성함수 극한값을 살펴볼 예정입니다.

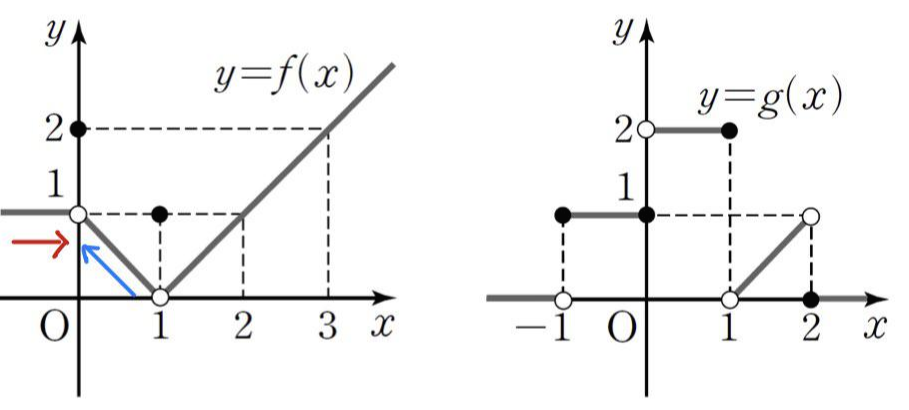
오늘 살펴볼 함수는
아래 f(x), g(x) 두 개입니다.

살펴볼 극한은 아래 3가지입니다.
극한이 존재하지 않는 경우는 없으니,
함정 없이 마음껏 풀어보세요.

그럼 하나씩 살펴볼까요?



f에서 0의 우극한의 경우에는
1로 가까이 가는 값이 아니라, 계속 1이 나오므로,
합성할 때 극한이 아니라 함숫값으로 나옵니다.
여기에 유의하셔야해요.!



마지막 문제입니다.
괄호 안에 극한이 있는 경우에는,
그냥 극한값을 계산하여
함숫값으로 대입하시면 됩니다.

합성함수의 극한은 치환해서 보시면 편합니다.
나중에 빨라지면 그래프 보고
눈으로도 바로 찾을 수 있긴 한데,
그건 연습이 좀 많이 필요하죠.
다음에 또 다양한 문제 들고 올게요!
반응형
'고등수학 (2015 개정 교육과정) > 수학2' 카테고리의 다른 글
| 삼차함수 접선의 개수 (2) | 2021.07.18 |
|---|---|
| [함수의 연속] 연속 x 불연속 문제 (0) | 2021.04.22 |
| [수학 발표 추천 주제] 함수의 연속 : 모든 점에서 불연속인 함수 (디리클레 함수) (10) | 2020.11.24 |
| [함수의 수렴과 연속] 수렴, 발산과 연속, 불연속 진위판정 쉽게 하는 방법 (0) | 2020.05.14 |
| [가우스] 가우스의 기본 성질 (0) | 2020.02.15 |