수학2에서 함수의 극한을 배운 다음에는,
함수의 연속과 불연속을 배웁니다.
먼저는 한 점에서의 연속을 배우고,
구간에서의 연속을 배우죠.
그리고 주로 문제를 풀 때는
불연속 점의 개수가 유한개인 다룹니다.
아래처럼요.

그래서 이번엔,
불연속 점의 개수가 무한개인 함수를
다뤄볼까 합니다.
좀 더 나아가서
모든 점에서 불연속인 함수를 알아볼거에요.

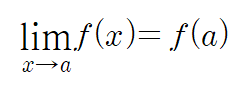
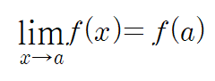
x=a로 다가가는 극한값
현 고등학교 교육과정은 x가 a로 다가갈 때,
왼쪽/오른쪽으로 좌/우만 관찰합니다.
이를 좌극한/우극한이라고 다루죠.
x=a에서 연속일 때 아래 명제가 성립합니다.

조금 더 자세히 보자면,

즉 리미트 기호가 함숫값 안쪽에
들어갈 수 있단 말이죠.
여기서 괄호 안쪽을 볼 겁니다.
a로 다가가는 극한값은 
사실 다양한 방식을 쓸 수 있습니다.
좌우 번갈아가면서 다가가거나,
특정 수만 골라서 다가가거나,
어떤 방식을 써도 괜찮습니다.
x가 다양한 값으로 a에 다가가더라도 
함숫값이 특정한 값에 가까이 간다면
연속입니다.
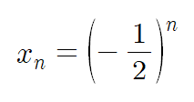
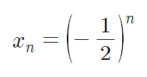
수학1에서 배웠던
수열을 이용해서 설명해볼게요.

이렇게 생긴 등비수열은
n이 무한히 커질 때, 부호가 계속 바뀌지만
0에 가까워집니다.
굳이 왼쪽/오른쪽에서 가지않고,
이런식으로 보내도 되는 것이죠.

함수가 연속일 때는,
a로 어떤 방식으로 가든 상관이 없단 얘기죠.

뭐.. f(x)가 x=a에서 연속이라는 명제와
아래는 동치입니다.

명제가 참이면 대우도 참이죠
f가 x=a에서 불연속인걸 보고 싶다면,

임을 보이면 됩니다.
그러니까 a로 가는 수열을 골라서,
그 함숫값의 극한이 f(a)와 다르면
불연속임을 보일 수 있는 것이죠.
이걸 불연속 판정법이라고 합니다.
디리클레 함수
그렇다면
이렇게 생긴 함수는 어떻게 생겼을까요?

유리수와 무리수는 조밀하지 않으므로 (density)
실직선으로는 그리면 안되니까,
점선으로 그려보도록 합시다.

직관적으로도 위는 x=0에서만 연속,
아래는 연속인 점이 없을 것 같네요.
위와 같이 생긴 함수를
디리클레 함수라고 합니다.
(수학자 디리클레의 이름을 따서 만들었어요.)
대학교 때 배운 건데, 이 때는 정말
와.. 신세계!! 이러면서 배웠던 기억이 나네요.
아무튼, 증명을 한 번 해보도록 합시다.


이해를 돕기위해
case1,2로 나누어 증명하긴 했는데,
사실 특정점으로 수렴하는
유리수열과 무리수열이 존재하므로,
극한이 다르다고 보여주면
한큐에 증명 가능합니다.


위와 같이 구성한다면,
y=-x와 y=x의 교점인
x=0에서만 연속이고,
나머지 점에서는 모두 불연속인 함수를
만들어볼 수도 있습니다.
뭐.. 연속인 점이 유한개가 되게끔
여러분들 마음대로 구성하면 되겠죠?
수열의 극한 자체는
미적분에서 배우는 내용이지만,
수열 자체는 수학1에서 배우는 내용이라
수학 발표 주제나, 수학 보고서로
다루는 데 크게 무리는 없을 거에요.
제가 포스팅 한다고 12년 전에 배웠던
해석학 교과서도 열심히 뒤적거렸네요.;
금번 포스팅이 반응이 좋으면
모든점에서 연속이지만,
모든점에서 미분 불가능한 함수
이런 것도 다음에 포스팅 할게요?ㅋ
수열이 극한이 사실 미적분에 나오는 내용이긴 한데,
좀 더 문과적인 내용을 하고 싶다거나
더 심화된 내용으로 들어가는 게 부담이라면
아래 포스팅 참고하시면 도움이 될 거에요.
[수학2 주제 탐구 추천] 정반합을 통한 접선의 개념 살펴보기
나는 문과라 도저히 미적분이랑 뭘 엮어야 할지 모르겠다고 고민되는 분이라면 오늘 포스팅 집중! 사회계열, 철학계열까지 충분히 커버가능한 주제를 갖고 왔답니다. 바로 접선에 개념 변화를
ladyang86.tistory.com
'고등수학 (2015 개정 교육과정) > 수학2' 카테고리의 다른 글
| 삼차함수 접선의 개수 (2) | 2021.07.18 | 
|---|---|
| [함수의 연속] 연속 x 불연속 문제 (0) | 2021.04.22 | 
| 합성함수의 극한값 (3) | 2020.12.02 | 
| [함수의 수렴과 연속] 수렴, 발산과 연속, 불연속 진위판정 쉽게 하는 방법 (0) | 2020.05.14 | 
| [가우스] 가우스의 기본 성질 (0) | 2020.02.15 |