오늘은 수능대비시
반드시 알아야 할 테마인
함수 곱의 연속에 대해
알아보겠습니다.

연속인 함수 x 연속인 함수
= 항상 연속인 함수죠.
그렇다면 연속 x 불연속은
어떻게 될까요?
이건 연속일수도/
불연속일수도 있습니다.
그런데 만약 문제에서
연속 x 불연속인데 결과가 연속이라면,
반드시 연속인 함수가 0이어야 해요.
생각해봅시다.

연속은 점에서의 연속부터 정의되니
불연속이 되는 점을 파악하면 됩니다.

불연속 x 불연속의 경우는
직접 정석대로 좌우극한과 함숫값을
전부 구해서 보셔야 합니다.
아래에 문제를 한 번 직접 풀어보면서
익혀보도록 해요!
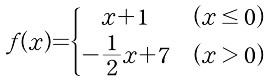
문제1

우선 f(x)와 g(x)를 살펴봅시다.
f(x)는 x=1, x=3에서 불연속이고,
g(x)는 이차함수라
실수 전체에서 연속입니다.

즉 불연속 x 연속 = 연속인 함수를
만들어야 하죠.
그러려면 연속인 함수가 해당 x값에서
0이어야 합니다.

그럼 이제 본격적으로 식을 구하면 되겠죠?

주어진 조건으로 식을 만들어서 써주면
끝!

문제2
함수

에 대하여
함수 f(x)f(x-a)가 x=a에서 연속이 되도록 하는
모든 실수 a의 값의 합은?
우선 형태를 좀 살펴봅시다.

여기서 a가 0이 아니라면
f(x)를 두 번 곱한거라
불연속 x 불연속인 함수가 되죠.
그래서 직접 해보셔야 합니다.

여기서는 연속이 아니라,
이 과정을 모르고 생략했어도
답이 바르게 나오지만,
불연속인지 체크해야지만
답이 나오는 기출문제도 있어요.
그러니 연속/불연속 여부부터
반드시 체크하는 습관을 기르도록 해요!
계속 풀어볼까요?

f(x)의 그래프가 그리기 쉬운 편이라,
그냥 그래프 그리셔서 a=-1, a=14를
바로 구하셔도 됩니다.ㅎㅎ

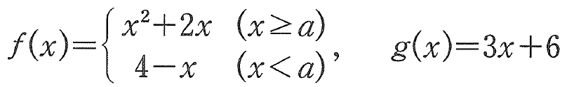
문제3
두 함수

에 대하여
함수 f(x)g(x)가 실수 전체의 집합에서
연속이 되도록 하는
모든 실수 a의 값의 합을 구하여라.
f(x)는 a를 기준으로 다른 함수고
g(x)는 연속함수네요.
여기서 f(x)가 불연속인지 연속인지는
아직 모릅니다.!
그래서 f(x)가 연속/불연속인 경우를
나누어서 접근하셔야 해요.

f(x)가 연속이라면 g(x)도 연속이므로
두 함수의 곱은 항상
실수 전체에서 연속입니다.

곱함수의 연속성을 묻는 문제는,
정말 단골출제유형이므로,
반드시 익혀두셔야 합니다.
한 번에 다 하자니
양이 너무 많네요;ㅋ
문제를 좀 더 선정하여,
다음에 한 번 더 포스팅할게요!
그럼 그동안 꾸준히 복습해요.!
'고등수학 (2015 개정 교육과정) > 수학2' 카테고리의 다른 글
| 미분계수 공식 정리 (h 등장하는 꼴일 때) (0) | 2021.07.24 |
|---|---|
| 삼차함수 접선의 개수 (2) | 2021.07.18 |
| 합성함수의 극한값 (3) | 2020.12.02 |
| [수학 발표 추천 주제] 함수의 연속 : 모든 점에서 불연속인 함수 (디리클레 함수) (10) | 2020.11.24 |
| [함수의 수렴과 연속] 수렴, 발산과 연속, 불연속 진위판정 쉽게 하는 방법 (0) | 2020.05.14 |